Fondo linea de tiempo

Personajes Influyentes en la ingeniería

  • Leonhard Euler

    Leonhard Euler

    Nace el Principal Matemático del siglo XVIII y físico suizo, fue uno de los más grandes prolíficos de todos los tiempos.
  • Problemas de los puentes de Königsberg

    Problemas de los puentes de Königsberg

    Euler demostró que es imposible atravesar los siete puentes de Königsberg pasando exactamente una vez por cada uno de ellos. Para ello, tradujo el problema en otro en el que intervienen vértices y aristas.
  • Introducción al análisis infinitesimal

    Introducción al análisis infinitesimal

    en su obra, realizó el primer tratamiento analítico completo del álgebra, la teoría de ecuaciones, la trigonometria y la geometría analítica. dice que el pi está asociado al problema de la cuadratura del circulo.
  • Period: to

    Instituciones del cálculo integral y diferencial

    Euler transforma el cálculo diferencial e integral en una teoría formal de las funciones que no necesitaba ya del apoyo de la geometría
  • Leonhard Euler

    Leonhard Euler

    En un año de sucesos importantes como lo era la independencia de estados unidos de gran bretaña y el nacimiento de simón bolivar, muere el principal matemático de la época, Leonhard Euler.
  • Thomas Alva Edison

    Thomas Alva Edison

    Mientras Se halla uno de los pilares de la termodinámica, la ley de conservación de la energía. Por james Prescott joule; en el nuevo continente nace uno de los mas importantes inventores norte americanos, Thomas alva edinson.
  • Nikola Tesla

    Nikola Tesla

    Nace el ingeniero y físico que revolucionó la era de las corrientes junto a Edinson.
  • Heinrich Rudolf Hertz

    Heinrich Rudolf Hertz

    Nace uno de los mejores físicos de su época, Heinrich Rudolf Hertz.
    quien hizo grandes aportaciones a la física.
  • Oliver Heaviside

    Oliver Heaviside

    Nace el considerado por algunos como el padre de las telecomunicaciones.
  • El fonógrafo

    El fonógrafo

    Edison lleva a cabo uno de los más grandes inventos, el fonógrafo; aparato el cual registra y reproduce el sonido.
  • Cable coaxial

    Cable coaxial

    heaviside, estudió el efecto pelicular y en 1880 inventa el cable coaxial, el cual lo patenta. importante para las comunicaciones eléctricas.
  • Motor de corriente alterna

    Motor de corriente alterna

    Nikola tesla inventa uno de los apartos que revolucionaria la tecnología, el motor de corriente alterna, Aplíca el principio del campo magnético rotativo, generado por corrientes alternas en número de una o más desfasadas las unas en relación a las otras
  • Lampara incandescente

    Lampara incandescente

    Édinson perfecciona la lámpara incandescente introduciéndole un filamento de bambú carbonizado, también logra trasmitir una corriente eléctrica de un filamento a una placa metálica dentro de un globo de lámpara incandescente
  • Campo Magnético Rotatorio

    Campo Magnético Rotatorio

    tesla descubre la manera de que un campo magnético giratorio se genere por medio de una corriente alterna trifásica.
  • Efecto fotoeléctrico

    Efecto fotoeléctrico

    Hertz descubre el efecto fotoeléctrico al notar que en algunos casos los metales podían reflejar una chispa cuando estaban bajo ciertas frecuencias de luz. este importante descubrimiento llevó a la explicación de la reflección de la luz sobre una superficie.
  • Eliminación del ruido

    Eliminación del ruido

    heaviside formuló la idea de que era posible eliminar la distorsión de una línea mediante la adaptación de impedancias, un gran avance para el campo de las telecomunicaciones.
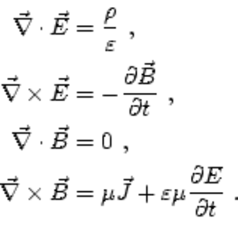
  • Demostración de las ecuaciones de maxwell

    Demostración de las ecuaciones de maxwell

    Hertz logra trasmitir ondas electromagnéticas entre dos antenas desde un laboratorio logrando demostrar de manera práctica las ecuaciones de maxwell
  • El kinetoskopio

    El kinetoskopio

    Edinson construye el kinetoskopio, aparato para ver imágenes en movimiento. Fue la unión entre el fonógrafo y un zoopraxiscopio, aparato que permite ver imagenes secuenciales
  • Bobina de tesla

    Bobina de tesla

    Uno de los grandes inventos de tesla, la bobina la cual es un circuito, la cual crea variaciones en el flujo del campo magnético permiten transportar la electricidad sin ningún medio
  • Inducción electrodinámica

    Inducción electrodinámica

    Tesla demostró que la transferencia de energía ELÉCTRICA de forma inalámbrica era posible mediante el uso de una serie de bombillas de fósforo, proceso al cual se le llama Inducción electrodinámica.
  • Muerte de Heinrich Rudolf Hertz

    Muerte de Heinrich Rudolf Hertz

    Muere uno de las mentes que más aporto al campo de la física, explicando las complicadas ecuaciones de maxwell los cuales describen los comportamientos electromagnéticos.
  • Nacimiento de la radio

    Nacimiento de la radio

    tesla, desarrolla uno de los invento mas importantes del siglo, la radio. logra comunicarse con un barco a 40 km de distancia.
  • Paul Dirac

    Paul Dirac

    Nace unos de los ingenieros y físicos que simplificó el fenómeno de las ondas electromagnéticas de maxwell muy importante en las telcomunicaciones.
  • Retirada

    Retirada

    Lléga un años triste para la vida de Heaviside , tras sus problemas de salud se aleja de las investigaciones.
  • Desarrollo de la mecánica cuántica

    Desarrollo de la mecánica cuántica

    Desarrollo un modelo matemático que asocia cantidades medibles con operadores que actúan en el espacio vectorial de Hilbert y describe el estado físico del sistema, la cual permite estudiar la materia en su manera microscópica.
  • ley de dirac

    ley de dirac

    propuso una ecuación para explicar el comportamiento relativista del electrón, encontrando el antiproton el cual deduce que existe la antimateria.
  • Muerte de Thomas Edison

    Muerte de Thomas Edison

    Doce años después de haber terminado la primera gran guerra mundial, muere Tomas Edinson, considerado una de las mentes mas brillantes del siglo XX. introduciendo la electricidad a nuestras vidas cotidianas.
  • Muerte de Nikola Tesla

    Muerte de Nikola Tesla

    Muere el inventor ingeniero y considero por algunos físico, el cual hizo que la corriente pudiera llegar por medio de un interruptor a los domicilios de las personas.
  • Muere Paul Dirac

    Muere Paul Dirac

    El gran contribuyente de la mecánica cuántica muere el 20 de octubre de 1984 en florida , estados unidos.