Thca4dgval

Oral Thrush

By quista
  • Thrush is 1st Described:
    400

    Thrush is 1st Described:

    The term "thrush" was 1st described in "Of the Epidemics," a part of Hippocrarte's Book of Greek Medicine in about 400 B.C.
    "Thrush" refers to the resemblance of "white flecks" which is seen in certain types of Candidiasis; it also refers to the breast or flock of birds
  • A Fever Is Reported

    A Fever Is Reported

    Samuel Pepys' Diary reported: "A patient hath a fever, a thrush and a hiccup."
  • Invasive Form of Thrush:

    Invasive Form of Thrush:

    Nils Rosen Von Rosenstein defined an invasive form of thrush.
  • Beauvaria Bassiana Discovered To Cause Thrush

    Beauvaria Bassiana Discovered To Cause Thrush

  • Thrush Described By:

    Thrush Described By:

    Also described by French pediatrician Francois Valleix
  • 1st Documentation of Fungus Assoc. With Thrush

    1st Documentation of Fungus Assoc. With Thrush

    Laugenbeck 1st documented fungus associated with thrush but failed to make a direct connection
  • Candida Albicans Is Classified

    Candida Albicans Is Classified

    Frech mycologist Charles Phillipe Robin classified fungus as Oidium Albicans to name the fugus causing thrush.
    *Albicans means "to whiten"
  • Pepys' Perception Is Accepted:

    Pepys' Perception Is Accepted:

    Mycologists accepted Pepys' perception
  • Candida Albicans Is Described:

    Candida Albicans Is Described:

    Candida Albicans (C. Albicans) was 1st described by botanist Christine Marie Berkhout
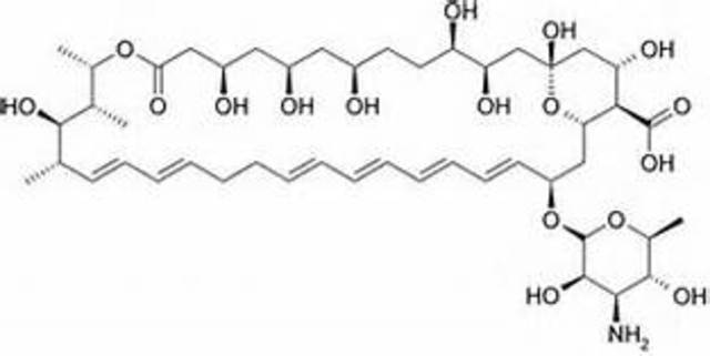
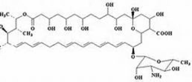
  • 1st Antifungal agent Nystatin Is Discovered

    1st Antifungal agent Nystatin Is Discovered

  • 1st Use of Amphotericin B

    1st Use of Amphotericin B

  • 1st Antifungal Use of Anazole

    1st Antifungal Use of Anazole

  • Pfizer Started A Program To Find Agent To Improve Antifungal Medications

    Pfizer Started A Program To Find Agent To Improve Antifungal Medications

  • Fluconazole is FDA Approved

    Fluconazole is FDA Approved

  • Caspofungin Is FDA Approved

    Caspofungin Is FDA Approved

  • Search Still Continues For Antifungals

    Search Still Continues For Antifungals

Looking for a timeline maker?

Create timelines for projects, roadmaps, history, lessons, legal cases, and stories with Timetoast. Timetoast is a timeline maker for work, school, research, and stories.