MEDIA!!!

  • Period: to

    MEDIA

  • Lynde M. Walter's Boston Transcript first penny press

    Lynde M. Walter's Boston Transcript first penny press

    Penny press papers were a cheap source of information for the publics new desire for news and became a big part of the socialization of the late 19th century due to the technological advances in print making. penny press to future newsies
    penny press speech
  • Public Libraries Act 1850

    Public Libraries Act 1850

    British Parliment rule that allowed burroughs with poulations over 10,000 to establish free public libraries. Allowing the transmission of education, values and knowledge. Manchester free library
    facebook
    beginning of the Act
  • “Dempsey vs. Carpentier”

    “Dempsey vs. Carpentier”

    Sarnoff was pivitol in using this event to promote radio, this broadcast reached a potential audience of 500,000. This gave rise to the success of a sport radio broadcast. Paving way to world cup, superbowl, racing and other ritual media moment
    UNILEVER
    sarnoff impact of radio
  • First Academy Awards

    First Academy Awards

    Academy of Motion Picture Arts and Sciences president Douglas Fairbanks hosted the inagural Oscars. "Wings" took home what is now best picture. Now one of the largest social moments, and now a ritual moment.
    Wings
    Oscars
  • MPAA film rating system took effect

    MPAA film rating system took effect

    The MPAA came into effect offering ratings G, M, R and X and established the US late in the game of controlling content with ratings. As an advancent of a medium this became the standard we are now familiar with.
    Rating descriptions Rated M MPAA
  • ARPANET

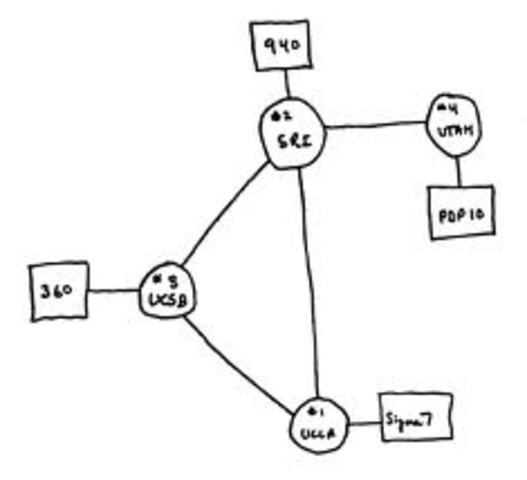
    ARPANET

    The first ARPANET link was established between the University of California, Los Angeles and the Stanford Research Institute UC-Santa Barbara and the University of Utah allowing them to share messages. The first message was Login but only Lo went through and then crashed the system. And now is a staple in every day use as a social tool.
    Kleinrock Inventions
  • MIDI is introduced

    MIDI is introduced

    Musical INstrument Digital Interface is a universal language to connect instruments to electronic editing machines for engineering and production purposes. Midi is one of the largest and most important technological advances in music recording. Homebrew
    MIDI
  • Billy Mitchell Perfect Score Pac Man

    Billy Mitchell Perfect Score Pac Man

    It took almost 20 years but Billy Mitchell was teh first person to get a perfect score on the Pac Man arcade game. Completing the goal of every gamer and doing it on the most famous arcade game ever.Record SetWired
  • broadcasting exclusively in a digital format

    broadcasting exclusively in a digital format

    Television is no longer analog and now can fully embrace the day we live inby allowing digital tv to smoothly interface with all other digital tachnologies. As a technological advance this opens up for a new Spectrum Auction only to advance technology even further. Spectrum Auction
    Digital Tv map
  • Facebook hits 500mill users

    Facebook hits 500mill users

    Wtih half a billion users Facebook out-populates the US, Russia and Argentina combined. Facebook has created the largest social movement in history and now the world is always at our fingertips.
    graph
    Graphics

A list shows items. A timeline shows sequence.

Use Timetoast to make dates, milestones, and turning points easier to understand in a clear visual format. Timetoast is a timeline maker for work, school, research, and stories.