Psicologia

LINEA DEL TIEMPO - PSICOMETRIA / AUTORES

  • Period: to

    1700

  • Ernst Heinrich Weber (1795 –1878)

    Ernst Heinrich Weber (1795 –1878)

    Llevo a cabo importantes estudios acerca de los fenómenos sensoriales y del sentido del tacto. Fue quien enunció la ley psicofísica conocida hoy en día como la ley de Weber-Fechner
  • Period: to

    1800

  • Gustav Theodor Fechner 1801- 1887

    Gustav Theodor Fechner 1801- 1887

    Se considera el padre de la Psicofisica, y enfoque psicometrico tambien; popularizo la ley de Weber-Fechner. En 1860 elaboro la ecuación que pretende cuantificar la relacion que se encuentra entre la sensación y los estímulos físicos o como también se llama (relacion entre alma y materia).
  • Francis Galton (1822-1911)

    Francis Galton (1822-1911)

    Se le considera el padre de la Psicología Diferencial. En 1884 fundó su laboratorio antropométrico en Londres, que se constituye en el primer instituto de psicometría, que le proporcionó numerosos datos sobre diferentes características de las personas, además de realizar los primeros análisis estadísticos. Galton comparó las facultades mentales de los gemelos. Es conocido por ser un investigador pionero en la inteligencia humana y los efectos del apareamiento selectivo humano.
  • Wilhelm Maximilian Wundt 1832 – 1920

    Wilhelm Maximilian Wundt 1832 – 1920

    Estudia de las diferencias individuales e influencio sobre investigaciones y análisis de la inteligencia en la psicometría. Fue el creador del primer laboratorio científico de psicología en 1879 de esta manera estudiar la experiencia observable e inmediata. Fue pionero en introducir a los procesos mentales en un laboratorio.
  • James Mckeen Cattell – 1861 – 1944

    James Mckeen Cattell – 1861 – 1944

    Pionero de la Psicometría. Contribuyo activamente a que la psicología fuera considerada una ciencia, gracias a sus diseños de test mentales este campo ha podido surgir y ha dado explicación a los comportamientos humanos.
  • William Stern 1871 – 1938

    William Stern 1871 – 1938

    Introduce por primera vez el término de “coeficiente intelectual” Fue el inventor del concepto cociente de la inteligencia, o índice de inteligencia, desarrollo de las primeras pruebas de Cociente intelectual, la práctica de dividir la edad de desarrollo mental por la edad biológica basado en el trabajo de Alfred Binet.
  • Lewis Terman 1877 – 1956

    Lewis Terman 1877 – 1956

    Fue uno de los creadores del test de inteligencia que a través de este mide 6 factores específicos: conocimientos, proceso visual-espacial, memoria de trabajo, proceso visual-espacial, inteligencia general, razonamiento fluido y cuantitativo, a través de 10 subtests.
  • Hermann Rorschach – 1884 - 1922

    Hermann Rorschach – 1884 - 1922

    Realizó el test de Rorschach que somete al paciente a una serie de imágenes ( manchas de tinta) para analizar su personalidad, se publico por primera vez en 1921 y logro una difusión en la comunidad de psicoanalíticos y psicólogos en general.
  • Pearson (1896)

    Pearson (1896)

    El coeficiente de correlación de Pearson se utiliza para estudiar la relación (o correlación) entre dos variables aleatorias cuantitativas.
  • Period: to

    1900

  • Alfred Binet 1905

    Alfred Binet 1905

    Contribuyo a la Psicologia diferencial y Psicometria, fue diseñador de test de prediccion del rendimiento escolar. Este test tenía como finalidad práctica y única la de identificar a escolares que requerían una atención especial, se esperaba que mejorara la educacion, se utilizaba para saber el nivel de aprendizaje de los niños, se utilizaba midiendo quienes necesitan ayuda especial.
  • Lee Cronbach (1916 - 2001)

    Lee Cronbach (1916 - 2001)

    Psicólogo estadounidense conocido por su trabajo en teoría y metodología de los tests psicológicos. Cronbach desarrolló la Teoría de la Generalizabilidad, para identificar las fuentes de error de estas pruebas.
  • Charles spearman 1930

    Charles spearman 1930

    Spearman fue el primer autor en ofrecer una definición psicométrica sostenible de la inteligencia, y es considerado el padre de la Teoría Clásica de los Test. Este autor propuso la idea de que el comportamiento inteligente es generado por una cualidad singular dentro del cerebro humano.
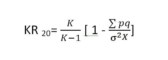
  • Kuder Richardson (1937)

    Kuder Richardson (1937)

    Formula de COEFICIENTES DE FIABILIDAD La Fórmula KR20 utiliza información acerca de la dificultad de cada pregunta, ya que se basa en el número de preguntas del examen, la suma de sus varianzas y la varianza total del examen. La Fórmula KR21 es más sencilla, puesto que requiere menos información y asume que las preguntas poseen el mismo grado de dificultad
  • Period: to

    2000

Plan projects on a visual timeline

Map milestones, phases, deadlines, and key events in one place so the sequence is easier to see and share. Timetoast is a timeline maker for work, school, research, and stories.