Captura

Linea de tiempo (Historia de las matemáticas)

  • 70,000  - 20,000 a. C.
    20,000 BCE

    70,000 - 20,000 a. C.

    Primeros dibujos geométricos
  • 10,000-5000 a.C.
    5000 BCE

    10,000-5000 a.C.

    Se utilizaban fichas de arcilla para contabilizar.
  • 3400-3100 a.C.
    3100 BCE

    3400-3100 a.C.

    Egipto y babilonia hacen avances creando sistemas numéricos(decimal y sexagesimal) que les permitía realizar trabajar con números grandes y aritmética básica.
  • 2,200 - 1,700 a.C.
    1700 BCE

    2,200 - 1,700 a.C.

    Se crea el sistema egipcio más conocido para las fracciones.
  • 1600 A. C.
    1600 BCE

    1600 A. C.

    Aparecen aproximaciones de raíces cuadradas.
  • 1200 a.C.
    1200 BCE

    1200 a.C.

    El pueblo chino crea el Chou Pei, la mayor obra matemática china que planteaba 246 problemas.
  • 500 a.C.
    500 BCE

    500 a.C.

    Euclides de Alejandra hace el primer uso sistemático de diagramas en sus escritos geométricos.
  • 600-400 a.C.
    400 BCE

    600-400 a.C.

    -Grecia es la primera civilización en estructurar las matemáticas a partir de definiciones, axiomas y demostraciones.
    -Surge el teorema de Pitágoras.

    -Primera reflexión sobre la línea por parte de los pitagóricos.
    -Pitágoras desarrolla la aritmética, geografía, la armónica y demuestra la irracionalidad de 2.
  • 460-370 a.C.
    370 BCE

    460-370 a.C.

    -Democrito de Abdera descubre la formula para calcular el primer volumen de un cuerpo geométrico.
    -La teoría griega de los irracionales fue concebida por Eudoxo.
  • 300 a.C.
    300 BCE

    300 a.C.

    -Los indios fueron los primeros en utilizar sobre el concepto de “cero”.
    -Ptolomeo funda la primera Universidad en la Ciudad de Alejandría, en donde enseña Euclides
  • 325-265 a.C.
    265 BCE

    325-265 a.C.

    Euclides se hace famoso por su libro de geometría “los elementos” que sirvió para enseñar geometría durante 2 milenios.
  • 212 a.C.
    212 BCE

    212 a.C.

    Arquímedes utilizó incluso la geometría de la reflexión óptica para concentrar los rayos solares sobre una flota romana invasora e incendiar las naves.
  • 150 a.C.
    150 BCE

    150 a.C.

    -Aparece el texto más importante de trigonometría de la Antigüedad la Sintaxis matemática por Ptolomeo de Alejandría.
    -Aparecen las primeras tablas trigonométricas por Hiparco.
  • 360-415 d.C.
    415

    360-415 d.C.

    -Hypatia de Alejandría primera mujer matemática que se menciona en la historia de las matemáticas. Realizó un gran aporte sobre la Aritmética de Diofanto y junto a padre Theon realizó un trabajo sobre los Elementos de Euclides, mejorando notablemente esta obra, para la enseñanza.
  • 1020 d.C.
    1020

    1020 d.C.

    Abul Wáfa publica la fórmula trigonométrica conocida como sen (α + β) = sen α cos β + sen β cos α.
  • 1202 d.C.
    1202

    1202 d.C.

    Leonardo Fibonacci escribió su obra Liber Abaci sobre la aritmética y álgebra elemental.
  • 1464 d.C.
    1464

    1464 d.C.

    Johannes Müller escribió su obra en 5 libros De Trianguüs Omnimodis que fue la primera exposición sistemática de trigonometría plana y esférica.
  • 1471 d.C.
    1471

    1471 d.C.

    Johannes Müller calculó una nueva tabla de senos y una tabla de tangentes.
  • 1557 d.C.
    1557

    1557 d.C.

    Robert Recordé en The Whetstone of Witte inventó el símbolo = para la igualdad.
  • 1591 d.C.

    1591 d.C.

    In Artem Analyticam Isagoge (Introducción al arte analítico) explica que el álgebra es un método para operar sobre formas generales y que la aritmética es un método para operar sobre números concreto.
  • 1614

    1614

    John Napier introduce los logaritmos mediante el folleto Mirifici Logarithmorum Canonis Descriptio.
  • 1617 d.C.

    1617 d.C.

    Publicó Logarithmorum Chilias Prima, los logaritmos de los enteros de 1 a 1.000
  • 1619 d.C.

    1619 d.C.

    René Descartes introduce la geometría analítica.
  • 1650

    1650

    Fermat y la una conjetura conocida como su último teorema.
  • 1654 d.C.

    1654 d.C.

    Pascal y Fermat desarrollan la teoría de la probabilidad
  • 1665 d.C.

    1665 d.C.

    Isaac Newton estableció el Teorema General del Binomio y desarrolló el Método de las fluxiones que ahora conocemos como Cálculo Diferencial.
  • 1673 d.C.

    1673 d.C.

    Leibniz desarrolla su versión de Cálculo Diferencial y utiliza el signo actual de integral.
  • 1696 d.C.

    1696 d.C.

    Marqués de L'Hôpital publica la teoría de límites de L'Hôpital.
  • 1715 d.C.

    1715 d.C.

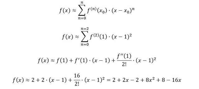
    Taylor publicó su teorema de desarrollo de una función en serie polinómica
  • 1734 d.C.

    1734 d.C.

    Euler realiza técnicas para la integración y resolución de ecuaciones diferenciales.
  • 1748 d.C.

    1748 d.C.

    Se publicó su libro Instituzione Analitiche de Cálculo Diferencial por María Gaetana Agnesis es la segunda mujer importante en la historia de las matemáticas.
  • 1767 d.C.

    1767 d.C.

    Johann Lambert demostró que pi es irracional.
  • 1794 d.C.

    1794 d.C.

    Aparece la primera revista dedicada a matemáticas avanzadas el Journal de L'école Polythecnique.
  • 1796 d.C.

    1796 d.C.

    Carl Friedrich Gauss prueba que el polígono regular de 17 lados puede ser construido utilizando únicamente regla y compás.
  • 1807 d.C.

    1807 d.C.

    Joseph Fourier anuncia su descubrimiento acerca de la descomposición de funciones periódicas en series trigonométricas convergentes (la serie de Fourier).
  • 1822 a.C.

    1822 a.C.

    Augustin Louis Cauchy presenta el teorema integral de Cauchy para la integración alrededor del borde de un rectángulo en el plano complejo.
  • 1828 d.C.

    1828 d.C.

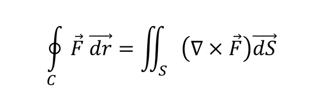
    George Green prueba el teorema de Green.
  • 1837 d.C.

    1837 d.C.

    Fue resuelto el problema de la trisección de un ángulo
  • 1837 d.C.

    1837 d.C.

    Pierre Alphonse Laurent descubre y presenta la serie de Laurent.
  • 1850 d.C.

    1850 d.C.

    George Gabriel Stokes redescubre y prueba el teorema de Stokes.
  • 1895 d.C.

    1895 d.C.

    Georg Cantor publica un libro acerca de teoría de conjuntos conteniendo la aritmética de números cardinales infinitos y la hipótesis del continuo.
  • 1896 d.C.

    1896 d.C.

    Se demostró por Belga J. Hadamard El Teorema de los números primos establecido como conjetura por Gauss.
  • Bibliografía parte 1

    Bibliografía parte 1

    • Galán Atienza, B. (2012). La Historia de las Matemáticas: De dónde vienen y hacia dónde va. Universidad de Cantabria. España. Recuperado de: https://repositorio.unican.es/xmlui/bitstream/handle/10902/1764/Gal%C3%A1n%20Atienza%2C%20Benjam%C3%ADn.pdf?sequence=1#:~:text=Los%20primeros%20conocimientos%20de%20referencias,matem%C3%A1ticas%20como%20una%20p ura%20aritm%C3%A9tica
  • Bibligrafía Parte 3

    • Francisco I., García C., Martínez M. Otras miradas Aportaciones de las mujeres a las matemáticas, editorial Federación de Enseñanza de CCOO Pza. de Cristino Martos, 4, 4º. 28015 Madrid. Recuperado en: https://www.inmujeres.gob.es/areasTematicas/AreaEducacion/MaterialesDidacticos/docs/AportacionesMatematicas.pdf
  • Bibliografía parte 2

    Bibliografía parte 2

    • MatemáticasTV. La historia de las matemáticas - Capítulo 3: Las fronteras del espacio. (2016, 31 enero). [Vídeo]. YouTube. Recuperado de: https://www.youtube.com/watch?v=GOS7IZI05dQ
    • Stewart, I. (2008). Historia de las matemáticas en los últimos 10.000 años. (J. G. Sanz, Trad.) Crítica
    • Saénz E. (2004) Apuntes para el curso Historia de las Matemáticas. México, Universidad autónoma de Nuevo León. Recuperado en: http://cdigital.dgb.uanl.mx/la/1020150847/1020150847.PDF