la Inducción electromagnética OT.AS

By othman
  • Tales de Mileto
    624 BCE

    Tales de Mileto

    es considerado como uno de los primeros que asoció los fenómenos eléctricos y magnéticos. Tales conoció los efectos de la magnetita y pensó que si el ámbar al ser frotado era capaz de atraer pequeños objetos era porque se transformaba en magnético por el efecto del frotamiento.
  • William Gilbert

    William Gilbert

    William Gilbert fue un Filósofo natural y médico inglés. el primer libro importante sobre Física publicado en Inglaterra. Introdujo el término electricidad a partir de sus estudios sobre electrostática. Rechazó con vigor la filosofía aristotélica y el método escolástico de enseñanza en las universidades.
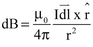
  • Fórmula de Biot-Savart

    Fórmula de Biot-Savart

    La principal diferencia entre el campo magnético y electromagnetismo fue la aparición de un conductor en el campo.
    Esto supuso la formulación de tres expresiones para explicar el comportamiento de un hilo en el campo magnético.
    1: Campo magnético creado por un hilo rectilíneo: B= (µ I)/(2π r)
    2. Campo magnético creado por una espira: B=(µ I)/(2 r)
    3. Campo magnético creado por un solenoide: B=(N µ I)/L
  • Fuerza de Lorentz

    Fuerza de Lorentz

    La fuerza de Lorentz explica la unión de la carga y el imán, y la fuerza que ejerce la carga sobre el campo magnético.
    La formula es : F=q(v x b) (Expresión vectorial).
    El módulo es: F=q v b cos alfa.
  • Hans Christian Ørsted

    Hans Christian Ørsted

    Ørsted realizó su famoso experimento en el cual hacía circular una corriente eléctrica por un conductor cerca del cual se colocaba una aguja imantada. La aguja se desviaba mostrando que una corriente eléctrica crea un campo magnético a su alrededor.
  • André-Marie Ampère

    André-Marie Ampère

    La ley de Ampere relaciona el campo magnético con la corriente eléctrica. Podemos afirmar que las fuentes
    del campo magnético son las corrientes eléctricas.
    Aplicando la ley de Ampere es muy sencillo calcular el campo magnético creado por un hilo.
  • Experimentos de Faraday y Henry

    Experimentos de Faraday y Henry

    Henry descubrió, de forma independiente y simultánea a Faraday, que un campo magnético variable induce una fuerza electromotriz. En particular, Henry observó que, si un conductor se mueve perpendicularmente a un campo magnético, aparece una diferencia de potencial entre los extremos del conductor. El interés del experimento de Henry reside en que la aparición las fuerzas que el campo magnético ejerce sobre las cargas del conductor.
  • Ley de Faraday-Henry-Lenz

    Ley de Faraday-Henry-Lenz

    La inducción electromagnética se basa en dos principios fundamentales:
    • Toda variación de flujo que atraviesa un circuito cerrado produce en este una
    corriente inducida.
    • La corriente inducida es una corriente instantánea, pues sólo dura mientras
    dure la variación del flujo.
    La inducción electromagnética se rige por dos leyes:
    • Ley de Faraday-Henry, que nos da el valor de la corriente inducida.
    • Ley de Lenz, que nos da el sentido de la corriente inducida.
  • James Clerk Maxwell

    James Clerk Maxwell

    Maxwell fue otro de los que aportaron al campo magnético y flujo magnético. En su caso, lo hizo con sus 20 famosas ecuaciones de Maxwell.
  • Carl Friedrich Gauss

    Carl Friedrich Gauss

    El hecho de que las líneas del campo siempre sean cerradas ya que no existen mono polos magnéticos sino que los cuerpos imantados tienen dipolos magnéticos,
    naciendo las líneas del polo norte magnético y llegando
    al polo sur del imán, hace que si se toma una superficie
    cerrada que encierre a la fuente del campo magnético,
    las líneas de campo salientes a través de esa superficie es
    igual al número de líneas entrantes.. Es decir que el flujo magnético en una superficie cerrada es cero.

Want to make a timeline like this?

Use Timetoast to turn dates, events, milestones, and phases into a clear visual timeline you can build and share. Timetoast is a timeline maker for work, school, research, and stories.