La historia de la electricidad

  • Gilbert: materiales eléctricos, analectricos

    Gilbert: materiales eléctricos, analectricos

    Resultado de imagen para gilbert materiales electricos
    Estudió la inclinación de una aguja magnética concluyendo que la Tierra se comporta como un gran imán. El científico que recibe el crédito de ser primer padre de la electricidad y magnetismo fue el inglés William Gilbert, que fue un físico y hombre sabio en la corte de la reina Elizabeth (siglo XVI)
  • Von Guericke: las cargas eléctricas

    Von Guericke: las cargas eléctricas

    famoso por sus estudios sobre presión atmosférica, la electrostática y sobre la física del vacío.La carga eléctrica es una propiedad física intrínseca de algunas partículas subatómicas que se manifiesta mediante fuerzas de atracción y repulsión entre ellas a través de campos electromagnéticos.
  • Gray: los efluvios

    Gray: los efluvios

    En sus experimentos también descubrió que para que la electricidad, o los efluvios o virtud eléctrica, como se llamaba en aquellos tiempos, pudiera circular por el conductor, éste tenía que estar aislado de tierra.
  • Watson: la corriente eléctrica

    Watson: la corriente eléctrica

    Estudió los fenómenos eléctricos, modificando la botella de Leyden mediante la agregación de una cobertura de metal, con lo que descubrió que de esta forma se incrementaba la descarga eléctrica.
  • Franklin: el pararrayos

    Franklin: el pararrayos

    Un pararrayos es un instrumento cuyo objetivo es atraer un rayo ionizado del aire para conducir la descarga hacia tierra, de tal modo que no cause daños a las personas o construcciones.
  • Coulomb: fuerza entre dos cargas

    Coulomb: fuerza entre dos cargas

    La magnitud de cada una de las fuerzas eléctricas con que interactúan dos cargas puntuales en reposo es directamente proporcional al producto de la magnitud de ambas cargas e inversamente proporcional al cuadrado de la distancia que las separa. Ley de Coulomb.
  • Galvani: fuerzas entre dos cargas

    Galvani: fuerzas entre dos cargas

    Galvani identificó a la electricidad animal con la fuerza vital que animaba los músculos de la rana, e invitó a sus colegas a que reprodujeran y confirmaran lo que hizo
  • Vollta: la pila

    Vollta: la pila

    Alejandro Volta descubrió la pila o columna, a la que inicialmente llamó "órgano eléctrico artificial", estudiando los efectos del galvanismo sobre las ancas de rana.
  • Ohm: la ley de ohm

    Ohm: la ley de ohm

    Corresponde a la diferencia de potencial, a la resistencia e a la intensidad de la corriente. Las unidades de esas tres magnitudes en el sistema internacional de unidades son, respectivamente, voltios (V), ohmios (Ω) y amperios (A).
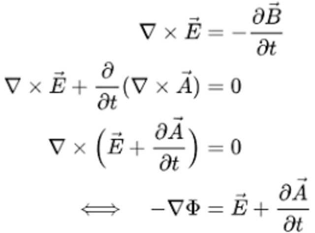
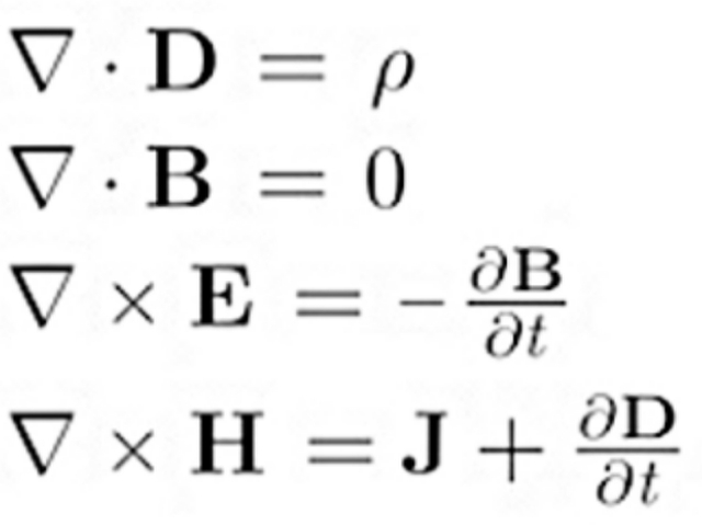
  • Maxwell: las cuatro ecuaciones

    Maxwell: las cuatro ecuaciones

    Entre estas leyes están la ley de Ampère, la ley de Faraday o la ley de Lenz. Maxwell lograría unificar todas estas leyes en una descripción coherente del campo electromagnético.
  • Graham bell: el telefono

    Graham bell: el telefono

    Bell no fue sino solamente el primero en patentarlo. Así, el 14 de de enero de 1876, el Congreso de Estados Unidos aprobó la resolución 269 por la que se reconoció que el inventor del teléfono había sido Antonio Meucci y no Alexander Graham Bell.
  • Hopkinson: el sistema trifasico

    Hopkinson: el sistema trifasico

    Contribuye al desarrollo de la electricidad con el descubrimiento del sistema trifásico para la generación y distribución de la corriente eléctrica, sistema que patenta en 1882.
  • Westinghouse: El suministro de corriente alterna

    Westinghouse: El suministro de corriente alterna

    En los sistemas de suministro eléctrico centralizados, la energía eléctrica se genera en las centrales eléctricas
  • Hertz: Demostración de las ecuaciones de Maxwell

    Hertz: Demostración de las ecuaciones de Maxwell

    en 1887 construyó un dispositivo con el que logró su fin. El experimento que realizó fue a la vez genial y sencillo.
  • Alva edison: lampara incandescente

    Alva edison: lampara incandescente

    .Thomas Alva Edison fue el primero en patentar una bombilla incandescente de filamento de carbono, viable fuera de los laboratorios, es decir, comercialmente viable.
  • Nikola Tesla: la bobina

    Nikola Tesla: la bobina

    Una bobina de Tesla es un tipo de transformador resonante, llamado así en honor a su inventor, Nikola Tesla, quien la patentó en 1891. La bobina de Tesla está compuesta por una serie de circuitos eléctricos resonantes acoplados.Tesla experimentó con gran variedad de bobinas y configuraciones
  • Thomson: Los rayos catodicos

    Thomson: Los rayos catodicos

    El experimento consiste en mover el flujo de electrones del interior del tubo con un campo magnético, que fue lo que indujo a Thomson a concluir que esos rayos que provenían del cátodo no eran rayos X,
  • Einstein: el efecto fotoelectrico

    Einstein: el efecto fotoelectrico

    Einstein pudo explicar el efecto fotoeléctrico basándose en la hipótesis de Planck. Para esto Einstein suponía que la radiación electromagnética esta formada de paquetes de energía
  • Millikan: El experimento.

    Millikan: El experimento.

    El experimento de la gota de aceite fue realizado por Robert Millikan y Harvey Fletcher en 1911 para medir la carga elemental (la carga del electrón.
  • Onnes: Superconductividad

    Onnes: Superconductividad

    Historia. La superconductividad fue descubierta por Kamerlingh Onnes y Gilles Holst en 1911. ... Estas dos propiedades, conductor perfecto y perfecto diagmagneto (o efecto Meissner)
  • Zworykin: La televisión

    Zworykin: La televisión

    fue un ingeniero e inventor alemán, considerado uno de los pioneros de la televisión.
  • Howard Armstrong: frecuencia modula

    Howard Armstrong: frecuencia modula

    Armstrong inventó la radio en Frecuencia modulada (FM). También inventó el circuito regeneratico (patentado en 1914), el circuito Super-regenerativo (patentado en1922), y el receptor superheterodino (patentado en 1918). La modulación de la frecuencia (FM) patentada en 1933.
  • Watson: El radar

    Watson: El radar

    fue un ingeniero y físico escocés, considerado erróneamente por algunos como el inventor del radar (el desarrollo era muy anterior).