Cargas electricas

La carga electrica

  • 600

    CUENTOS DE MILETO

    Tales de Mileto demostró que frotando una varilla de ámbar con la piel se pudieron producir pequeñas cargas y sí estas se frotaban constantemente se podía producir chispas.
  • Guillermo Gilberto

    Guillermo Gilberto

    Gilbert fue quien definió el término de fuerza eléctrica como el fenómeno de atracción que se producía al frotar ciertas sustancias. A través de sus experiencias clasificó los materiales en conductores y conductores e ideó el primer electroscopio en el año 1600.
  • OTTO VON GUERICKE

    OTTO VON GUERICKE

    Von Guericke Mostró que, cuando dos hemisferios de cobre de 50 centímetros de diámetro perfectamente ajustados, quedaron unidos de manera que formasen una esfera y se establecía el vacío en su interior tras extraer el aire atmosférico, dos recuas de ocho caballos cada una no podrán separarlos.
  • STEPHEN GRAY

    STEPHEN GRAY

    Descubrimiento de la atraccion y repulsion de elementos al conectarlos a materiales electricos.
  • william watson

    william watson

    Watson consideró que dos tipos de electricidad, "vítrea" y "resinosa" postulados por Du Fay correspondían a un exceso de carga (carga positiva) ya una deficiencia de carga (carga negativa) de un mismo fluido al que se denominó "éter eléctrico" y que la cantidad de carga eléctrica se conservaba.
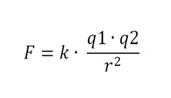
  • CHARLES AUGUSTIN DE COULUMB

    CHARLES AUGUSTIN DE COULUMB

    Fue el primero en establecer las leyes cuantitativas de la electrostatica ademas de realizar muchas investigaciones sobre, mgnetismo, rozamiento y electricidad.
  • BENJAMIN FRANKLIN

    BENJAMIN FRANKLIN

    Investigo los fenomenos electricos e inventp el pararrayos y denomino las cargaspositivas y negativas
  • ALEJANDRO VOLTA

    ALEJANDRO VOLTA

    fisico pionero en los estudios de la electricidad, famoso principalmente por haber desarrollado la pila eléctrica en 1800.
  • MICHAEL FARADAY

    MICHAEL FARADAY

    Faraday es uno de los científicos más influyentes de la historia. Mediante su estudio del campo magnético fijó las bases para el desarrollo del concepto de campo electromagnético. Descubrió descubrió el principio de inducción electromagnética, el diamagnetismo, las leyes de la electrólisis e inventó algo que él llamó dispositivos de rotación electromagnética
  • SAMUEL F. MORSE

    SAMUEL F. MORSE

    fue quien inventó e instaló un sistema de telegrafía en Estados Unidos, el primero de su clase. Se trató del telégrafo Morse, que permitió transmitir mensajes mediante pulsos eléctricos activados en el código Morse, también inventado por él.
  • THOMAS ALVA EDISON

    THOMAS ALVA EDISON

    fue uno de los primeros inventores en aplicar los principios de la producción en cadena y el trabajo en equipo a gran escala al proceso de invención, motivos por los cuales se le reconoce la creación del primer laboratorio de investigacion industrial
  • HEINRICH RUDOLF HERTZ

    HEINRICH RUDOLF HERTZ

    descubrió el efecto fotoeléctrico, la propagación de las ondas electromagnéticas y las formas para producirlas y detectarlas. La unidad de medida de la frecuencia, el hercio («Hertz», en la mayoría de los idiomas), lleva ese nombre en su honor.
  • ALBERT EINSTEIN

    ALBERT EINSTEIN

    Se le considera el científico más conocido e importante del siglo XX. El resultado de sus investigaciones sobre la electricidad llegó en 1905 (fecha trascendental que se conmemoró en el Año mundial de la física 2005), cuando escribió cuatro artículos fundamentales sobre la física de pequeña y gran escala. En ellos explicaba el movimiento browniano, el efecto fotoeléctrico y desarrollaba la relatividad especial y la equivalencia entre masa y energía.
  • NIKOLA TESLA

    NIKOLA TESLA

    TESLA es conocido sobre todo por sus numerosos inventos en el campo del electromagnetismo, Las patentes de Tesla y su trabajo teórico ayudaron a forjar las bases de los sistemas modernos para el uso de la energía eléctrica por corriente alterna (CA), incluyendo el sistema polifásico de distribución eléctrica y el motor de corriente alterna, que contribuirán al surgimiento de la Segunda Revolución Industrial. inventó el motor de corriente en 1990.
  • ACTUALIDAD

    ACTUALIDAD

    En la actualidad la electricidad es una de las principales formas de energia usadas en el mundo y que nos permiten conseguir evlucionando para mejorar nuestras tecnologias y nuestra forma de vida

A list shows items. A timeline shows sequence.

Use Timetoast to make dates, milestones, and turning points easier to understand in a clear visual format. Timetoast is a timeline maker for work, school, research, and stories.