-
El ingeniero A. K. Erlang realizó un estudio acerca de las fluctuaciones de la demanda de instalaciones telefónicas en relación con el equipo automático.
Fotografía:
Erlang [fotografía]. (2006). Recuperado de: https://upload.wikimedia.org/wikipedia/commons/thumb/f/fd/Erlang.jpg/220px-Erlang.jpg -
John Von Neumann formula la aplicación del teorema Minimax (Maximin), algoritmo a la teorías de juegos y/o decisiones.
Fotografía:
220px-HD.3F.191_%2811239892036%29 [fotografía]. (2005). Recuperado de:https://upload.wikimedia.org/wikipedia/commons/thumb/7/78/HD.3F.191_%2811239892036%29.jpg/220px-HD.3F.191_%2811239892036%29.jpg -
L. Kantorovich, realiza importantes aportes en los modelos de planeación de producción y distribución.
Fotografía:
kantorovich [fotografía]. (2008). Recuperado de: https://www.eco-finanzas.com/economia/premio-nobel/imagen/Leonid-Kantorovich.jpg -
Nace durante la Segunda Guerra Mundial.
Fotografía:
warroom01 [fotografía]. (2012). Recuperado de: http://1.bp.blogspot.com/-uQyC4_RiHwg/UFdJhga5HnI/AAAAAAAATX8/vXF6XtKJiTM/s1600/warroom01.jpg -
Desarrollo de políticas óptimas para el nuevo sistema de detección militar conocido como radar.
Fotografía:
interface-radar [fotografía]. (2010). Recuperado de: https://previews.123rf.com/images/dmitriyrazinkov/dmitriyrazinkov1609/dmitriyrazinkov160900920/62453700-military-green-radar-screen-with-target-futuristic-hud-interface-.jpg -
F. L. Hitchcok formula la estructura y planteamiento del problema de transporte.
Fotografía:
Hitchcok [fotografía]. (2012). Recuperado de: https://i.dailymail.co.uk/i/pix/2012/01/26/article-0-0000953300000CB2-190_226x322.jpg -
Las Fuerzas Aéreas, el Ejército y la Marina tenían grupos establecidos dentro de sus filas dedicados a la I.O.
Fotografía:
8 [fotografía]. (2015). Recuperado de: https://sig.com/images/about/meetourpeople/00-786x340-hagan-2.jpg -
El matemático George Dantzig desarrolla un algoritmo para la solución eficiente de problemas de programación lineal, esta herramienta se conoce como el método símplex.
Fotografía:
Dantzig [fotografía]. (2005). Recuperado de:https://s.hdnux.com/photos/10/04/54/2116400/5/920x920.jpg -
Se abrió el primer curso formal de Investigación de Operaciones en el MIT.
Fotografía:
MIT-side-text-red [fotografía]. (2016). Recuperado de: http://mitlinq.org/2016/wp-content/uploads/2016/06/MIT-side-text-red.png -
George Dantzing desarrolla la programación linal.
-
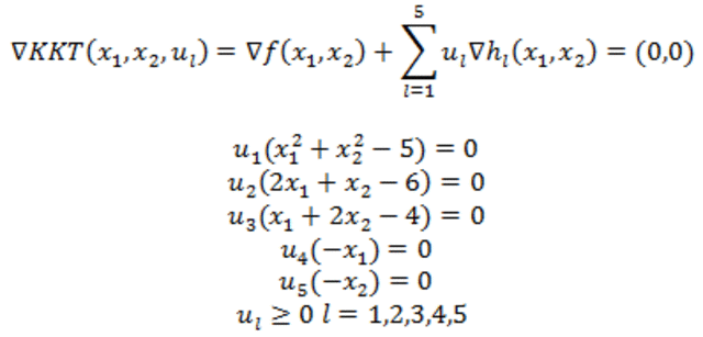
Kun-Tucker es un modelo de la programación no lineal.
Fotografía:
números [fotografía]. (2007). Recuperado de: https://lh3.googleusercontent.com/DXqbII74diSWcPE-bg4hOsmVe6gdD96sGDD9BZH1WOV0KG9ZxO5rMCuxVfNRRsCNk8Cy0Q=s142 -
También hay que resaltar los trabajos de Markowitz en el marco de la simulación y la programación discreta.
Fotografía:
Nobel laureate Harry Markowitz [fotografía]. (2015). Recuperado de: http://www.trbimg.com/img-57bcba7f/turbine/sdut-harry-markowitz-nobel-2015dec02 -
Se registran los aportes de Bellman Richard en cuanto a la programación dinámica.
Fotografía:
bellman [fotografía]. (2012). Recuperado de: http://3.bp.blogspot.com/-ifdHsXW4-R4/T2FHQ5mAHtI/AAAAAAAAAJo/-Qxc3LBUvow/s1600/bellman.jpg -
Gomory desarrolla la programación entera y se nombra un método con su nombre llamado Cortes de Gomory.
Fotografía:
ralph [fotografía]. (2014). Recuperado de: http://3.bp.blogspot.com/-ifdHsXW4-R4/T2FHQ5mAHtI/AAAAAAAAAJo/-Qxc3LBUvow/s1600/bellman.jpg -
Las herramientas para la solución de problemas de IO, tales como programación lineal, programación entera, programación dinámica, teoría de inventarios, método de transporte, teoría de cola fueron desarrolladas.
Fotografía:
gráfica [fotografía]. (2018). Recuperado de: https://lh3.googleusercontent.com/z_M3H_ofQB9m2gvwNZP2sCzE3xs2HtHNLIBRGgmqSBMezCgx3_ShYGWIYUk317QKOBeqFQ=s142 -
M. Jairo. (2017). La Real Historia de la Investigación de Operaciones. 18/08/18. Recuperado de: http://ingenieria-industrial.net/leer/articulo/35
K. Wilson. (2010). Antecedentes IO. 18/08/18. Recuperado de: http://investigaciondeoperacionesind331.blogspot.com/p/antecedentes-io.html
Plan projects on a visual timeline
Map milestones, phases, deadlines, and key events in one place so the sequence is easier to see and share. Timetoast is a timeline maker for work, school, research, and stories.