Formulas matematicas estilo dibujado mano 23 2148494011

ELECTROMAGNETISMO

  • Primeras interacciones con la electricidad
    600 BCE

    Primeras interacciones con la electricidad

    En el año 600 a. C Tales de Mileto tuvo su primer encuentro con la electricidad al darse cuenta de que frotando ámbar este es capaz de atraer en sí mismo pequeños objetos.
    Fue el primero en dar con la magnetita, mineral que atrae a los metales, aunque no supo explicar bien el por qué de este suceso. https://www.naturgy.com/tales_de_mileto_el_ambar_y_el_descubrimiento_de_la_electricidad
  • Primeras interacciones con la electricidad
    300 BCE

    Primeras interacciones con la electricidad

    El filósofo griego Theophrastus escribió el primer tratado en donde establece que existen varias sustancias, a parte del ámbar, que al frotarlas producen una atracción hacia otros objetos.
  • Máquina electrostática

    Máquina electrostática

    El físico alemán Otto Von Guericke desarrolló la máquina electroestática con la que se producen cargas eléctricas.
    La máquina está compuesta por una esfera de azufre y una manija en la que al posar la mano la carga es inducida sobre la esfera de azufre,
    Otto Von Guericke se destacó además en la astronomía al decir que se pueden predecir los retornos de los cometas. http://www.portalplanetasedna.com.ar/maldemburgo.htm
  • Polaridad de las cargas eléctricas

    Polaridad de las cargas eléctricas

    El francés François De Cisternay Du Day fue el primero en descubrir que existen dos tipos de cargas: las positivas y las negativas (+/-) a las que denominó en ese entonces carga vítrea y carga resinosa, esto fue debido a que la carga vítrea se daba al frotar un paño de seda con el vidrio y la resinosa al frotar ámbar o goma con piel.
  • Van Musschenbroek y la botella de Leyden

    Van Musschenbroek y la botella de Leyden

    El físico holandés Van Musschenbroek inventó la botella de Leyden realizada con una botella de vidrio, esta herramienta se utiliza para almacenar las cargar eléctricas, la botella de Leyden se la conoce actualmente como el primer condensador.
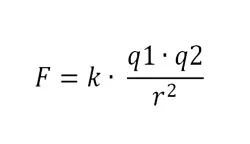
  • La ley de Coulomb

    La ley de Coulomb

    Tras años de experimentos Charles- Agustín de Coulomb anuncia su primera ley en la que propone que. "La fuerza con la que dos objetos se atraen o se repelen es proporcional al cuadrado de la distancia que los separa", Esta ley se representa mediante una fórmula (la que estás en la imagen) en la que "K" es la constante eléctrica y las "q" son las dos cargas (esta ley solo determina la fuerza de dos cargas interactuando).
  • La pila Voltaica

    La pila Voltaica

    El efecto Volta ofrece la oportunidad de saber lo que se encuentra dentro de una batería, este se dio con la creación de un aparato electromotor al que conocemos como pila voltaica. Mediante una serie de experimentos el físico Alessandro Volta logró crear esta batería, que fue la primera en proveer corriente eléctrica de forma continua.
  • Fundamentos del electromagnetismo

    Fundamentos del electromagnetismo

    En el año 1821 Michael Faraday dio a conocer los fundamentos del electromagnetismo.
    Descubrió la inducción electromagnética lo que lo llevó a la invención del dinamo (máquina que trasforma la energía mecánica en eléctrica).
  • Ley de Faraday-Henry

    Ley de Faraday-Henry

    La ley de Faraday-Henry establece que la fuerza electromotriz depende de la rapidez del flujo magnético. Faraday pensó en que para inducir corriente en un circuito es necesario un campo magnético, Joseph Henry también llegó a la misma conclusión ese mismo año.
  • Ley de Lenz

    Ley de Lenz

    La ley de Heinrich Lenz establece el sentido de una corriente eléctrica inducida.
    Imagen de Heinrich Lenz:
    https://th.bing.com/th/id/OIP.FThKX8DHCKvoo3mxDDp_3QHaG5?pid=ImgDet&w=515&h=480&rs=1
  • Los Rayos Catódicos

    Los Rayos Catódicos

    Julius Plücker fue un físico y matemático alemán que inventó los rayos catódicos, lo cual posteriormente dio lugar al descubrimiento del electrón. Foto de rayos catódicos:
    https://s3.amazonaws.com/s3.timetoast.com/public/uploads/photos/12151864/250px-CrookesTube.png
  • Ecuaciones de Maxwell

    Ecuaciones de Maxwell

    El escoses James Clerk Maxwell formuló las cuatro “ecuaciones de Maxwell” que describen los fenómenos electromagnéticos.(originalmente eran 20 ecuaciones)
  • Werner von Siemens

    Werner von Siemens

    Werner von Siemens fue el primer descubridor del principio dinamoeléctrico que fue la base principal de la electricidad.
    Su compañía construyó la red de telégrafos más grande del mundo (11.000km en líneas). Además, creó el primer tranvía eléctrico. WEBGRAFÍA:
    https://ciudadesdelfuturo.es/werner-siemens-200-anos-ingenio-para-vida.php
  • Joseph John Thomson y el descubrimiento del electrón

    Joseph John Thomson y el descubrimiento del electrón

    Físico británico, investigó los rayos catódicos mediante muchos experimentos que dieron lugar a que descubriera en 1897 una nueva partícula, la cual era mil veces más ligera que el hidrógeno a la que le puso el nombre de electrón. Fue el primero en descubrir partículas subatómicas.
  • El descubrimiento del protón

    El descubrimiento del protón

    En 1918 Ernest Rutherford mediante un experimento con nitrógeno en el que se dio cuenta de que este se desintegraba por el choque con las partículas alfa, descubrió el protón y concluyó con que todos los átomos estaban formados de un núcleo con portones y electrones (más adelante se demostró que también existían los neutrones).
  • James Chadwick y el neutrón

    James Chadwick y el neutrón

    El descubrimiento del neutrón se dio debido a que Chadwick, al bombardear una lámina de berilio con partículas alfas, se dio cuenta de que la radiación del metal tenía un nivel de energía muy elevado similar al de los rayos gamma. Posteriormente, se supo que la radiación estaba compuesta por partículas neutras.
  • La corriente alterna

    La corriente alterna

    Nikola Tesla fue un físico estadounidense con origen serbio, creó el primer motor de corriente alterna en 1882
    y la bobina en 1891.

Plan projects on a visual timeline

Map milestones, phases, deadlines, and key events in one place so the sequence is easier to see and share. Timetoast is a timeline maker for work, school, research, and stories.