- 
  
  Talesde Mileto observó que frotando una varilla de ámbar, en griego élektron, con una piel o con lana,se obtenían pequeñas cargas (efecto triboeléctrico) que atraían pequeños objetos, y frotandomucho tiempo podía causar la aparición de una chispa.
- 
  
  Teofrasto realizó un estudio de los diferentesmateriales que eran capaces de producir fenómenos eléctricos y escribió el primer tratado sobre laelectricidad.
- 
  
  Se registraron a lo largo de la Edad Antigua y Media otras observaciones aisladas y simplesespeculaciones, que no se concretarón bien del todo hasta el siglo XVII.
- 
  
  Robert Boyle un químico, fisíco, filósofo írlandes descubre que la fuerza eléctrica se podia transmitir en el vacío y observó la atracción y repulsión.
- 
  
  Guericke observó una variedad de manifestaciones que hoy asociamos a la electricidad estática, tales como chispas, chisporroteos y atracción y repulsión de objetos livianos. Años después notó que, en ocasiones, al rotar la esfera se producía un halo. Aunque no lo comprendió así, el brillo que observó era electroluminiscencia: la conversión de energía eléctrica en luz.
- 
  
  Al observar que cuando un tubo de vidrio se cargaba con electricidad por frotamiento, los tapones de sus extremos, que no habían sido frotados, también se cargaban, por lo cual, el fluido eléctrico había pasado del vidrio al corcho.
- 
  
  Continuó las investigaciones de Stephen Gray sobre la conducción de la electricidad y determinó la existencia de dos clases de electricidad obtenida por frotamiento: resinosa y vítrea, correspondientes a lo que posteriormente se llamaría electricidad positiva y negativa. Distinguió además entre conductores y aisladores y puso de manifiesto la repulsión entre cuerpos cargados de electricidad del mismo signo.
- 
  
  El primer condensador consistía en una botella de vidrio parcialmente llena con agua y tapada con un corcho atravesada en su centro por un cable con uno de sus extremos sumergido en el agua. Cuando se conectaba el cable a una fuente de energía estática la botella se cargaba, y podía descargarse conectando su borne central a un punto de potencial cero (tierra).
 La "Botella de Leyden" pronto encontró interesantes aplicaciones prácticas para almacenar la electricidad estática
- 
  
  La teoría de Benjamin Franklin de la existencia de electricidad positiva y negativa (1747) conservaba la carga de forma explícita y, lo que es más, hizo uso de esta ley para explicar el funcionamiento de la botella de Leyden. Los filósofos naturales posteriores a Franklin que usaban dos fluidos donde Franklin había usado uno, también asumían la conservación de la electricidad, aunque no explícitamente.
- 
  
  Benjamín Franklin se imaginó la electricidad como un fluido invisible. El aseguraba que si un cuerpo cualquiera tenía más fluido de lo normal, este cuerpo tendría carga positiva, si por el contrario el cuerpo tenía carga negativa.
 La teoría estaba de acuerdo con los experimentos que se llevaron a cabo en los siglos 18 y 19. Todo el mundo aceptó la idea y se tomó como cierta. Entre 1750 y 1897 surgieron un gran número de de conceptos y fórmulas basados en el flujo convencional.
- 
  
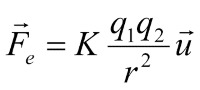
  inventó la balanza de torsión con la cual, midió con exactitud la fuerza entre las cargas eléctricas. Con este invento, Coulomb pudo establecer el principio, conocido ahora como Ley de Coulomb: la fuerza entre las cargas eléctricas es proporcional al producto de las cargas individuales e inversamente proporcional al cuadrado de la distancia que las separa.
- 
  
  inspirando los desarrollos posteriores de André-Marie Ampère y Faraday, cuando observó que una aguja imantada colocada en dirección paralela a un conductor eléctrico se desviaba cuando se hacía circular una corriente eléctrica por el conductor, demostrando así la existencia de un campo magnético en torno a todo conductor atravesado por una corriente eléctrica, e iniciándose de ese modo el estudio del electromagnetismo.
- 
  
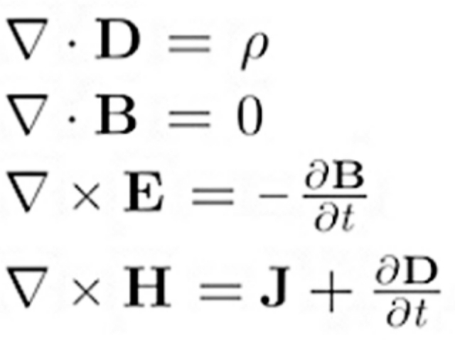
  En 1865, Maxwell publicó un artículo titulado 'Una teoría dinámica del campo electromagnético' en el que aparecieron por primera vez las ecuaciones conocidas como 'ecuaciones de Maxwell'. Estas ecuaciones expresan de una manera concisa y elegante todas las leyes fenomenológicas sobre electricidad y magnetismo que se habían formulado desde el siglo XVIII, entre ellas las leyes de Ampère, de Faraday y de Lenz. La notación vectorial que se utiliza hoy fue introducida en 1884 por Heaviside y Gibbs.
- 
  
  Hertz construye un oscilador y un resonador los cules se utilizaban para transmitir ondas electromagnéticas. Gracias a esto se creo la telegrafia sin hilos.
- 
  
  En New York, se utilizaba la transmisión energía DC y Tesla que vivía en ese tiempo en esa ciudad se aterrorizaba al ver tantos cables y sabía que existía una manera mas eficiente para la transmisión de energía, por lo cual diseño un generador que alterna la corriente eléctrica entre polos positivos y negativos en 60 ciclos por segundo.
- 
  
  
- 
  
  La Bobina de Tesla: Es un transformador de núcleo de aire que produce elevado voltaje a baja corriente. El voltaje es tan elevado que logra superar la tensión de ruptura del aire y por eso se ven rayos azules saliendo de la bobina lo cual las hace muy atractivas.
- 
  
  Nikola tesla En el Madison Square Garden en NewYork, utilizo el primer control remoto del mundo, logrando conducir a distancia un barco de aproximadamente 2 metros de longitud. Una batería en el control enviaba una señal eléctrica a un oscilador el cual la convertía en una onda electromagnética que en el receptor se traducía en un giro del barco. Y así mediante oscilaciones podía controlar el barco.
