- 
  
  Tales de Mileto descubre la magnetita, un mineral con propiedades magnéticas y tras frotar el hierro con este, el hierro adquiría propiedades magneticas.
 Este fue el primer contacto que tuvieron los humanos con el magnetismo.
- 
  
  Descubrió que era posible crear imanes comunes moviendo una aguja libremente por un imán. Además fue el que decubrió la polaridad Norte-Sur de los imanes y cuando dividias un imán no se dividian los polos sino que se creaba uno nuevo. Luego estudiando el movimiento circular de los imanes llegó a la conclusión de que la Tierra es un gran imán.
- 
  
  Funcionaba poniendo cerca de un conductor P aislado y cargado positivamente un cilindro inducido B, que se pone en comunicación con el suelo. Se produce entonces por influencia una región negativa, región cuya electrización puede utilizarse a voluntad. Basta colocar nuevamente B en comunicación con el suelo frente a P, para provocar la aparición de una nueva carga negativa. Se puede obtener por tal medio tantas cargas como queramos.
- 
  
  La ley de Biot-Savart, indica el campo magnético creado por corrientes eléctricas estacionarias. Es una de las leyes fundamentales de la magnetostática y definió lo que es el campo magnético. Aparte de esto sacaron 3 expresiones explicando como comportaba un hilo por donde pasaba corriente en un campo magético. En un hilo rectilíneo: B= (µ I)/(2π r)
 En una espira circular: B=(µ I)/(2 r)
 En un solenoide: B=(N µ I)/L
 Donde B equivale al valor del campo.
- 
  
  Mientras que estaba dando clase enseñando commo pasaba corriente por un cable de cobre, vió que esta corriente afectaba a la brújula que tenía al lado. Dió por acabada la clase y se fue a hacer experimentos sobre el fenómeno que acaba de ver.
 Ørsted no supo explicar esto pero marcará el principio de la relación entre electricidad y magnetismo.
- 
  
  Ampère explicó el fenómeno descubierto por Ørsted con su denominada Ley de Ampère que lo explicó diciendo que si un hombre que está acostado sobre un cable conductor la corriente, que pasa por él lo atraviesa de pies a cabeza, mientras que una aguja imantada, el polo norte de esta aguja se desplaza entonces a su izquierda. Esto es ejemplificado también en la regla de la mano derecha que indica la dirección del campo magnético, el movimiento y la dirección por la que circula la corriente.
- 
  
  Al mismo tiempo el científico Joseph Henry realizó un experimento casi igual al de Farraday solo que en el suyo pasaba una barra conductora entre 2 imanes, llegó a las mismas conclusiones que Farraday.
- 
  
  Michael Farraday realizó dos experimentos que formarán la base de lo que conocemos como inducción electromagnética.
 Su primer experimento consistia en conectar una espira a un galvonómetro y pasar un imán por el centro de la espira, vió que esto generaba corriente. Su segundo experimento consistía en conectar 2 bobinas mediante un tubo de hierro, uno lo conectaba a una pila y el otro a un galvonómetro. Vió que al cerrar la corriente aparecía corriente en la segunda bobina durante un instante.
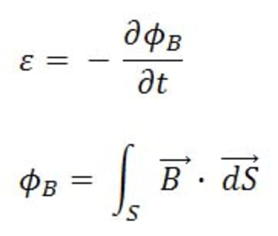
- 
  
  Esta ley se dividió en dos al principio primero la ley de Farraday-Henry que le daba valor a la Fem y luego aporta Lenz dandole un sentido.
- 
  
  Maxwell estudió y realizó comentarios sobre la electricidad y el magnetismo por primera vez en 1855. El ensayo presentaba un modelo simplificado del trabajo de Faraday, y ciertos comentarios sobre la relación entre electricidad y magnetismo. Maxwell redujo todo el conocimiento referente a la materia que en ese momento se tenía a un conjunto particular de veinte ecuaciones diferenciales, con veinte variables.
 Más tarde Maxwell calculó la velocidad de propagación de un campo electromagnético
- 
  
  En New York, se utilizaba la transmisión energía DC y Tesla se aterrorizaba al ver tantos cables y sabía que existía una manera mas eficiente para la transmisión de energía, por lo cual diseño un generador que alterna la corriente eléctrica entre polos positivos y negativos en 60 ciclos por segundo. Así, enviando AC a un transformador disminuiría la corriente y elevaría el voltaje y así se podía transmitir la energía largas distancias sin sufrir pérdidas significativas en el conductor.
