History Timeline Project

  • US/World History-Beginning of the Civil War

    US/World History-Beginning of the Civil War

    The Civil War began with shots fired at Fort Sumpter, almost one month after Abraham Lincoln beacame the president. The war was between The United States of America and The Confederate States of America taking place on U.S. soil.The civil war would adventually end in 1865.
  • US/World History-Gettysburg Address

    US/World History-Gettysburg Address

    One of the best known speeches in american history, The Gettysburg Adress was delivered by Abraham Lincoln. It was given during the cicil war, after those who gave their lives during the unions victory over the confederates in the Battle of Gettysburg,
  • US/World History-President Lincoln Assasinated

    US/World History-President Lincoln Assasinated

    Abraham Lincoln, born February 12, 1809, was shot and killed in Ford Theatre by John Wlkes Booth on good friday. Although John Wilkes Booth originally planned to kidnap Abraham Lncoln, he ended up Killing him in the theatre.
  • Chemistry- Law of Octaves J.A.R Newlands England

    Chemistry- Law of Octaves J.A.R Newlands England

    The law states eight elements in a row have similar chemical properties.
  • US/World History- Andrew Johnson impeached

    US/World History- Andrew Johnson impeached

    Andrew Johnson, the 17th President of the United States, was impeached for the violation of the enure of Office act, and eleven other imoeachment reasons. It was the only attempt of Impeachment up until Bill Clinton's attempt at impeachment.
  • Chemistry- Mendeleev's Periodic Table Dimitry Mendeleev Russia

    Chemistry- Mendeleev's Periodic Table Dimitry Mendeleev Russia

    Periodic Table arranged by atomic mass. It has developed into what is used today.
  • Chemistry- Discovery of the Proton Eugen Goldstein England

    Chemistry- Discovery of the Proton Eugen Goldstein England

    Discovered using cathode ray experiments. It has a neutral charge and is located in the nucleus
  • Chemistry- Discovery of the Electron JJ Thompson England

    Chemistry- Discovery of the Electron JJ Thompson England

    Discovered by a cathode ray experiment. Is a negative charged particle that surrounds the nucleus.
  • US/World History- Beginning of the Spanish American War

    US/World History- Beginning of the Spanish American War

    This war was the result of america's intervention on the cuban war of independence. The war took place in Cuba and Puerto Rico and lasted about 3 months. The result of the war was american victory.
  • Chemistry- Plum Pudding Model Sir Joseph John Thompson England

    Chemistry- Plum Pudding Model Sir Joseph John Thompson England

    Model of atomic structure made after the discovery of electrons. Only shows a postive atom with electrons floating around in it.
  • US/World History-Great San Francisco Earthquake

    US/World History-Great San Francisco Earthquake

    One of the worst Natural Disasters in U.S history, an earthquake that struck San Fancisco, CA at 5:12 A.M. The earthquake had a magnitude of 7.8 and caused an estimated 3,000 deaths and over 80% of San Fransicso was destroyed from the earthquake and subsequent fires.
  • Chemistry- Rutherford's Gold Foil Experiment Ernest Rutherford England

    Chemistry- Rutherford's Gold Foil Experiment Ernest Rutherford England

    Experiment with alpha rays particles shot through gold foil seeing that there is a nucleus. The particles that bounced back are the nuclei.
  • US/World History-Titanic Disaster

    US/World History-Titanic Disaster

    The Titanic was the largest ship afloat when it crashed. It crashed in the Atlantic Ocean on its way to North America. More than 1,500 people died, alot of them died due to the fact that the ship did not have enough life boats.
  • Chemistry- Bohr's Planetary Model of the Atom Niels Bohr Denmark

    Chemistry- Bohr's Planetary Model of the Atom Niels Bohr Denmark

    Model where a positively charged nucleus with neutrons is surrounded by electrons. This model is the one still used today.
  • Chemistry- Moseley/ Atomic Numbers Henry Mosely England

    Chemistry- Moseley/ Atomic Numbers Henry Mosely England

    Helped advance the periodic table by doing experiments to understand more on how the atomic numbers relate to the mass and element.
  • US/World History-World War I

    US/World History-World War I

    The first world war, or the great war, was centered in europe. The allied powers faced the combatant powers and and the allied powers won.By the end of this war the Ottoman Emoire ceased to exsist. The war conclude on November 11, 1918
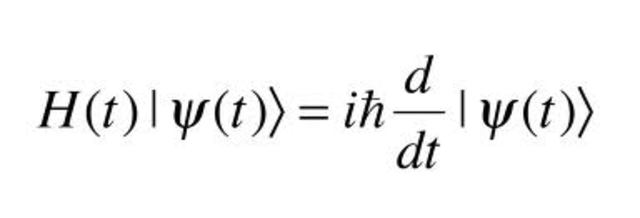
  • Chemistry- Schrodinger Equation Erwin Schrodinger Austria

    Chemistry- Schrodinger Equation Erwin Schrodinger Austria

    Partial differential equation describing quantum state of physical changes with time.
  • US/World History-Great Depression

    US/World History-Great Depression

    Starting on Black Tuesday with the crash of the stock market, the great depression was a time of longspread and deep depression. This was a bad time in american history and the unemployment rate increased by 25% at its highes levels, the depression lasted until the late 1930's and mid 1940's
  • Chemistry- Discovery of the Neutron James Chadwick England

    Chemistry- Discovery of the Neutron James Chadwick England

    Discovered using scattering data which calculated the mass of the particle(neutron).
  • US/World History-Beginning of World War II

    US/World History-Beginning of World War II

    The second world war began in europe,the u.s. was brought in to the war when the Japanease bombed Pearl Harbor on December 7, 1941. The war was fought between the alies and the axis. The allies forces came out victorious. The war concluded on September 2, 1945.

A list shows items. A timeline shows sequence.

Use Timetoast to make dates, milestones, and turning points easier to understand in a clear visual format. Timetoast is a timeline maker for work, school, research, and stories.