- 
  
   Crearon algoritmos para el cálculo de sumas de progresiones. Crearon algoritmos para el cálculo de sumas de progresiones.
 EL cálculo floreció mediante un sistema de numeración decimal y sistema sexagesimal.
 El papiro de Rhind que contenía problemas con progresiones.
- 
  
   Realizó problemas que implicaban el concepto de límites, tuvo la primera concepción del método a límite. Realizó problemas que implicaban el concepto de límites, tuvo la primera concepción del método a límite.
- 
  
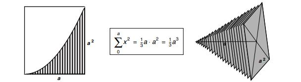
   Elaboró el método de exhausción antecedente del cálculo integral, para calcular áreas y volúmenes Elaboró el método de exhausción antecedente del cálculo integral, para calcular áreas y volúmenes
- 
  
   Los sofismas de Zenón constituyen la huella mas vieja que se conserva del pensamiento infinitesimal. Los sofismas de Zenón constituyen la huella mas vieja que se conserva del pensamiento infinitesimal.
- 
  
   Descubrimiento del cálculo integral. Uso el método exhaustivo para calcular el área bajo el arco de una parábola con el sumatorio de una serie infinita y dio una aproximación extremadamente precisa del número "PI". Descubrimiento del cálculo integral. Uso el método exhaustivo para calcular el área bajo el arco de una parábola con el sumatorio de una serie infinita y dio una aproximación extremadamente precisa del número "PI".
- 
  
   Sus avances obtenidos enmarcan el concepto de límite Sus avances obtenidos enmarcan el concepto de límite
- 
  
   Uso el método infinitesimal y estimulo el uso de los logaritmos en los cálculos. Uso el método infinitesimal y estimulo el uso de los logaritmos en los cálculos.
- 
  
   Inventó un compás de cálculo que resolvía problemas prácticos de matemáticas. El atomismo matemático y su intuición acerca de algunas nociones, hoy bien fundamentadas del cálculo infinitesimal. Hizo un abordaje al concepto de infinito en relación con las magnitudes extensas o numerables e inextensas, no divisibles. Inventó un compás de cálculo que resolvía problemas prácticos de matemáticas. El atomismo matemático y su intuición acerca de algunas nociones, hoy bien fundamentadas del cálculo infinitesimal. Hizo un abordaje al concepto de infinito en relación con las magnitudes extensas o numerables e inextensas, no divisibles.
- 
  
   Sistematización de la geometría analítica. Contribuyo a la teoría de las ecuaciones. Invento la notación de los exponentes con equis al cuadrado. Formulo la regla de los signos para descifrar el número de raíces negativas y positivas de cualquier ecuación algebraica. Sistematización de la geometría analítica. Contribuyo a la teoría de las ecuaciones. Invento la notación de los exponentes con equis al cuadrado. Formulo la regla de los signos para descifrar el número de raíces negativas y positivas de cualquier ecuación algebraica.
- 
  
   Introdujo en Italia el cálculo logarítmico. Fue considerado como uno de los precursores del análisis infinitesimal moderno. Introdujo en Italia el cálculo logarítmico. Fue considerado como uno de los precursores del análisis infinitesimal moderno.
- 
  
   Desarrollo un método algebraico para tratar cuestiones de geometría por medio de un sistema de coordenadas. Desarrollo un método algebraico para tratar cuestiones de geometría por medio de un sistema de coordenadas.
 Diseño un algoritmo de diferenciación para determinar los valores máximos y mínimos de una curva polinómica. Desarrollo un ingenioso método de demostración que denomino "del descenso infinito".
- 
  
   Ocupó su atención en problemas que implican límites infinitesimales Ocupó su atención en problemas que implican límites infinitesimales
- 
  
   En 1641 había completado gran parte del trabajo que iba a publicar en 3 partes. En 1644 publico "opera geométrica". En 1641 había completado gran parte del trabajo que iba a publicar en 3 partes. En 1644 publico "opera geométrica".
 Segunda parte "De motu gravium" tratado sobre movimiento parabólico de los proyectiles. Realizó la extensión del método de los indivisibles de Cavalieri a los inndivisibles curvos.
 Cálculo el área y el centro de gravedad de la cicloide.
- 
  
   Desarrollo parte del cálculo moderno. Precursor del cálculo infinitesimal. Introdujo el símbolo infinito para representar la noción del infinito. Desarrollo parte del cálculo moderno. Precursor del cálculo infinitesimal. Introdujo el símbolo infinito para representar la noción del infinito.
- 
  
   Calculo la superficie de la cicloide con los métodos de Cavalieri, así como el volumen del sólido(1658). Calculo la superficie de la cicloide con los métodos de Cavalieri, así como el volumen del sólido(1658).
 Apareció su escrito Tratado de Los Senos de Los Cuadrantes Circulares(1659).
- 
  
   Sus métodos matemáticos eran próximos a los del cálculo. Sus lecciones de geometría (1669-1670) fueron utilizadas más tarde en el cálculo diferencial e integral. Sus métodos matemáticos eran próximos a los del cálculo. Sus lecciones de geometría (1669-1670) fueron utilizadas más tarde en el cálculo diferencial e integral.
 Sus teorías establecen geométricamente la relación inversa que existe entre el cálculo de tangentes y el de áreas que constituyen en la actualidad el teorema fundamental del cálculo.
- 
  
   Descubrió los principios de su cálculo diferencial e integral hacia (1665-1666). Abordó el desarrollo del cálculo a partir de la geometría analítica desarrollando un enfoque geométrico y analítico de las derivadas matemáticas aplicadas sobre curvas definida a través de ecuaciones. Busco la relación entre la cuadratura y la teoría de tangentes. Descubrió los principios de su cálculo diferencial e integral hacia (1665-1666). Abordó el desarrollo del cálculo a partir de la geometría analítica desarrollando un enfoque geométrico y analítico de las derivadas matemáticas aplicadas sobre curvas definida a través de ecuaciones. Busco la relación entre la cuadratura y la teoría de tangentes.
- 
  
   En 1675 enuncio los principios fundamentales del cálculo infinitesimal. El 11 de noviembre de 1675 empleo por primera vez el cálculo integral para encontrar el área bajo la curva de una función. En 1675 enuncio los principios fundamentales del cálculo infinitesimal. El 11 de noviembre de 1675 empleo por primera vez el cálculo integral para encontrar el área bajo la curva de una función.
 Introdujo el signo de la integral y la letra "d" para referirse a los diferenciales. Público sus "Calculus" en 1684. La regla del producto del cálculo diferencial es denominada "regla de Leibniz para la derivación de un producto". Hizo aportes en las series infinitas.
- 
  
   Se dedicó principalmente a la teoría de ecuaciones. Desarrollo un teorema que lleva su nombre. En 1690 aparece su "método de cascadas" el cual le permite estudiar raíces distintas de la ecuación f(x) = 0. Su teorema se convertiría en uno de los principales pilares del cálculo diferencial. Se dedicó principalmente a la teoría de ecuaciones. Desarrollo un teorema que lleva su nombre. En 1690 aparece su "método de cascadas" el cual le permite estudiar raíces distintas de la ecuación f(x) = 0. Su teorema se convertiría en uno de los principales pilares del cálculo diferencial.
- 
  
   Difundió el cálculo en Europa. En 1691 viajo a Paris para guiar a los matemáticos franceses en el uso del cálculo. Difundió el cálculo en Europa. En 1691 viajo a Paris para guiar a los matemáticos franceses en el uso del cálculo.
- 
  
   En su Methodus Incrementorum Directa et Inversa (Londres 1715) desarrollo una nueva parte dentro de la investigación matemáticas, que hoy se llama cálculo de las diferencias finitas. En su Methodus Incrementorum Directa et Inversa (Londres 1715) desarrollo una nueva parte dentro de la investigación matemáticas, que hoy se llama cálculo de las diferencias finitas.
 En 1715 la ecuación diferencial de la cuerda vibrante.
- 
  
   En 1742 sentó las bases para una fundamentación lógica del cálculo infinitesimal en el Tratado de las fluxiones En 1742 sentó las bases para una fundamentación lógica del cálculo infinitesimal en el Tratado de las fluxiones
- 
  
   Realizó el primer tratamiento analítico completo del algebra en su libro Introducción al Análisis de los Infinitos. Otras obras trataban del cálculo incluido el cálculo de variaciones. Realizó el primer tratamiento analítico completo del algebra en su libro Introducción al Análisis de los Infinitos. Otras obras trataban del cálculo incluido el cálculo de variaciones.
 En 1755 publicó una obra llamada Instituciones del cálculo diferencial. En los años 1768-1770 su obra Instituciones del cálculo Integral. Fue el primero en escribir f(x). Introdujo la letra "e" como base del logaritmo integral natural.
- 
  
   Relativo a las ecuaciones diferenciales y a las derivadas parciales. Estudio las ecuaciones diferenciales y las ecuaciones a las derivadas parciales. Relativo a las ecuaciones diferenciales y a las derivadas parciales. Estudio las ecuaciones diferenciales y las ecuaciones a las derivadas parciales.
- 
  
   En 1755 resolvió un problema mediante el cálculo de variaciones. Con ayuda del cálculo diferencial deduce toda la mecánica de sólidos y fluidos. En 1755 resolvió un problema mediante el cálculo de variaciones. Con ayuda del cálculo diferencial deduce toda la mecánica de sólidos y fluidos.
 En 1792 y 1793 dedujo las cuádricas a su forma canónica . Contribuyo a las ecuaciones diferenciales en derivadas parciales. Contribuyó al cálculo d diferenciales finitas con la formula de interpolación.
- 
  
   En 1812 publicó teoría analítica de las probabilidades En 1812 publicó teoría analítica de las probabilidades
- 
  
   Profundizó sobre ecuaciones diferenciales y secciones cónicas. Profundizó sobre ecuaciones diferenciales y secciones cónicas.
- 
  
   En el trabajo de 1817 Bolzano entendía que liberaba los conceptos de límite, convergencia y derivada de nociones geométricas, sustituyéndolas por conceptos puramente aritméticos y numéricos En el trabajo de 1817 Bolzano entendía que liberaba los conceptos de límite, convergencia y derivada de nociones geométricas, sustituyéndolas por conceptos puramente aritméticos y numéricos
- 
  
   Investigo la convergencia y la divergencia de las series infinitas, ecuaciones diferenciales, determinantes, probabilidad. Investigo la convergencia y la divergencia de las series infinitas, ecuaciones diferenciales, determinantes, probabilidad.
 En1814 público la memoria de la integral definida. El análisis infinitesimal adquiere bases sólidas. Preciso los conceptos de función y limite.
- 
  
   Obra más famosa " Un análisis de las aplicaciones del análisis matemático a las teorías de la electricidad y el magnetismo Obra más famosa " Un análisis de las aplicaciones del análisis matemático a las teorías de la electricidad y el magnetismo
- 
  
   Contribuyó en el área de las funciones elípticas, las ecuaciones diferenciales. Demostró la solución de integrales elípticas mediante la aplicación de las funciones y las series exponenciales introducidas por él mismo. Desarrolló las determinantes funcionales y las ecuaciones diferenciales. Publicó su obra " Sobre la formación y propiedades de los determinantes" Contribuyó en el área de las funciones elípticas, las ecuaciones diferenciales. Demostró la solución de integrales elípticas mediante la aplicación de las funciones y las series exponenciales introducidas por él mismo. Desarrolló las determinantes funcionales y las ecuaciones diferenciales. Publicó su obra " Sobre la formación y propiedades de los determinantes"
- 
  
   En 1841 publico un ensayo sobre funciones elípticas. Dio las definiciones de continuidad, limite y derivadas de una función En 1841 publico un ensayo sobre funciones elípticas. Dio las definiciones de continuidad, limite y derivadas de una función
- 
  
   Introdujo las teorías de Curvas. EL libro de ejercicios de cálculo de Frenet, primera edición fue publicada en 1856 Introdujo las teorías de Curvas. EL libro de ejercicios de cálculo de Frenet, primera edición fue publicada en 1856
- 
  
   Trabajos matemáticos sobre valores críticos de sumas de series periodicas en 1847. Trabajos matemáticos sobre valores críticos de sumas de series periodicas en 1847.
 Cálculos numéricos de una clase de integrales definidas y series infinitas en 1850.
 Discusión de una ecuación deferencial relativa a la ruptura de puentes de ferrocarril 1849
- 
  
   Aportó en la geometría diferencial Aportó en la geometría diferencial
- 
  
   Aportes importantes al análisis y la geometría diferencial. Aportes importantes al análisis y la geometría diferencial.
 Su nombre se relaciona con la integral de Riemann
