Images (3)

Historia de la Electricidad - Maicol Pineda

  • Los primeros descubrimientos
    630 BCE

    Los primeros descubrimientos

    Los fenómenos eléctricos en la Naturaleza son
    conocidos desde la antigüedad
    Pero gracias a Tales de Mileto dio una idea clara de la electricidad
  • Electroterapia - Primeros Descubrimientos
    600 BCE

    Electroterapia - Primeros Descubrimientos

    los antiguos egipcios y romanos ensayaron los
    primeros métodos de electroterapia de la historia, sumergiendo a los paralíticos en lagunas
    con abundancia de peces eléctricos a fin de
    que los inválidos recibieran sus descargas, las
    que consideraban benéficas
  • Primeros Descubrimientos - Descubrimientos con el ámbar
    550 BCE

    Primeros Descubrimientos - Descubrimientos con el ámbar

    Thales de Mileto
    comprobó las propiedades
    eléctricas del ámbar, el cual al ser frotado con
    una pieza de lana era capaz de atraer a pequeños objetos. A su modo, ofreció una verdadera
    hipótesis científica.
  • Nuevos Descubrimientos
    550 BCE

    Nuevos Descubrimientos

    Se comprobó que otros cuerpos, como la piedra
    imán, el vidrio, la resina, el diamante y el cuarzo, tenían fuerza de atracción semejante a la
    del ámbar. Sin embargo tuvieron que transcurrir muchos siglos para que se buscara una
    explicación racional de aquellos fenómenos.
  • Se retomaron los estudios de la electricidad

    Se retomaron los estudios de la electricidad

    el estudio científico de la electricidad se inició recién en el siglo XVII.
  • Los primeros estudios

    Los primeros estudios

    Guillermo Gilbert, retoma los estudios de los griegos y emplea por primera vez la palabra electricidad para describir sus experimentos
    sobre electricidad y magnetismo
  • Hemisferios de Magdeburgo.

    Hemisferios de Magdeburgo.

    Otto von Guericke
    Ideó el famoso experimento de los hemisferios de Magdeburgo.
  • Primer máquina electrostática

    Primer máquina electrostática

    el físico alemán Otto von Guericke desarrolló la primer máquina electrostática para producir cargas eléctricas.
  • Existencia de dos cargas eléctricas

    Existencia de dos cargas eléctricas

    El francés François de Cisternay Du Fay identificó la existencia de
    dos cargas eléctricas, positiva y negativa. Según su teoría, estas cargas estaban ligadas a la existencia de dos tipos de fluidos
    eléctricos: uno de atracción y otro de repulsión.
  • Cargas eléctricas

    Cargas eléctricas

    François de Cisternay du.
    Fay Físico francés que estableció las bases para la comprensión de las cargas eléctricas positiva y negativa.
  • Siglo XVIII: la Revolución industrial

    Siglo XVIII: la Revolución industrial

    la revolución industrial impulsó las investigaciones y el conocimiento científico, trayendo nuevos experimentos y descubrimientos.
  • Los efluvios

    Los efluvios

    Stephen Gray, estudió principalmente la conductividad eléctrica de los cuerpos.
  • La botella de Leyden

    La botella de Leyden

    El físico neerlandés Pieter van Musschenbroek, creo el primer almacenador de carga eléctrica. Este dispositivo fue conocido como botella de Leyden
  • La corriente eléctrica

    La corriente eléctrica

    William Watson, realizó reformas en la botella de Leyden agregándole una cobertura de metal, descubriendo que de esta forma se incrementaba la descarga eléctrica.
  • Invento de la electricidad

    Invento de la electricidad

    Benjamín Franklin hizo su famoso experimento para demostrar que los rayos son una forma de electricidad. con su célebre experimento de la cometa, demostró que la energía de las tormentas y la de las botellas de Leyden eran la misma cosa, instaurando así la ciencia de la electricidad.
  • El pararrayos

    El pararrayos

    Benjamin Franklin, investigó los fenómenos eléctricos naturales, demostró que los rayos eran descargas eléctricas de tipo electrostático.
  • Fuerza entre dos cargas

    Fuerza entre dos cargas

    Charles-Augustin de Coulomb, fue el primero en establecer las leyes cuantitativas de la electrostática, además de realizar muchas investigaciones sobre magnetismo, rozamiento y electricidad.
  • Balanza de torsión

    Balanza de torsión

    Charles-Augustin de Coulomb, inventó la balanza de torsión para medir la fuerza de atracción o repulsión que ejercen entre sí dos cargas eléctricas y estableció la función que liga esta fuerza con la distancia
  • el impulso nervioso

    el impulso nervioso

    Luigi Galvani se hizo famoso por sus investigaciones sobre los efectos de la electricidad en los músculos de los animales
  • Pila de Volta

    Pila de Volta

    Alessandro Volta, estudió sobre la naturaleza de los fenómenos observados, surgió la construcción de la primera pila, o aparato para producir corriente eléctrica continua, llamado pila de Volta.
  • La electrólisis

    La electrólisis

    Davy contribuyó a identificar experimentalmente por primera vez varios elementos químicos mediante la electrólisis y estudió la energía involucrada en el proceso.
  • el arco eléctrico

    el arco eléctrico

    Descubierto por primera vez por Hertha Marks Ayrton.
    Se basa en una descarga eléctrica que se forma entre dos electrodos sometidos a una diferencia de potencial y colocados en el seno de una atmósfera gaseosa.
  • El electromagnetismo

    El electromagnetismo

    Hans Christian Ørsted, fue un gran estudioso del electromagnetismo, predijo la existencia de los fenómenos electromagnéticos. Este descubrimiento fue crucial en el desarrollo de la electricidad, ya que puso en evidencia la relación existente entre la electricidad y el magnetismo.
  • La termoelectricidad

    La termoelectricidad

    Thomas Johann Seebeck
  • El solenoide

    El solenoide

    André-Marie Ampère, está considerado como uno de los descubridores del electromagnetismo. Es conocido por sus importantes aportaciones al estudio de la corriente eléctrica y el magnetismo que constituyeron
  • el electroimán (1825)

    el electroimán (1825)

    William Sturgeon podía regular su electroimán, lo que supuso el principio del uso de la energía eléctrica en máquinas útiles y controlables, estableciendo los cimientos para las comunicaciones electrónicas a gran escala
  • la ley de Ohm

    la ley de Ohm

    Estudió la relación entre el voltaje V aplicado a una resistencia R y la intensidad de corriente I que circula por ella.
  • Inducción electromagnética (1830)

    Inducción electromagnética (1830)

    Joseph Henry, fue un físico que investigó el electromagnetismo y sus aplicaciones en electroimanes y relés. Descubrió la inducción electromagnética, simultánea e independientemente de Faraday, cuando observó que un campo magnético variable puede inducir una fuerza electromotriz en un circuito cerrado
  • el conmutador

    el conmutador

    William Sturgeon, inventó el conmutador para motores eléctricos
  • inducción, generador, leyes y jaula de Faraday

    inducción, generador, leyes y jaula de Faraday

    Michael Faraday, es conocido principalmente por su descubrimiento de la inducción electromagnética, que ha permitido la construcción de generadores y motores eléctricos, y de las leyes de la electrólisis por lo que es considerado como el verdadero fundador del electromagnetismo y de la electroquímica.
  • Ley de Lenz

    Ley de Lenz

    Heinrich Friedrich Lenz, formuló en 1834 la ley de la oposición de las corrientes inducidas, conocida como ley de Lenz
  • Efecto Peltier

    Efecto Peltier

    Jean Peltie y su gran descubrimiento experimental fue comprobar que el calentamiento o el enfriamiento de las uniones en el circuito het dependía de la dirección en que se hacía pasar la corriente eléctrica
  • El galvanómetro

    El galvanómetro

    William Sturgeon, inventó el primer galvanómetro de bobina giratoria.
  • telégrafo

    telégrafo

    Samuel Finley Breese Morse es principalmente conocido por la invención del telégrafo eléctrico y la invención del código Morse
  • Puente de Wheatstone

    Puente de Wheatstone

    Charles Wheatstone, es especialmente conocido por ser el primero en aplicar el circuito eléctrico que lleva su nombre para medir resistencias eléctricas
  • Relaciones entre electricidad, calor y trabajo

    Relaciones entre electricidad, calor y trabajo

    James Prescott Joule, físico inglés, es conocido por sus estudios sobre la energía y sus aplicaciones técnicas. Su principal contribución a la electricidad es la cuantificación de la generación de calor producido por una corriente eléctrica que atraviesa una resistencia
  • Leyes de Kirchhoff

    Leyes de Kirchhoff

    Gustav Robert Kirchhoff, estuvieron en el campo de los circuitos eléctricos, la teoría de placas, la óptica, la espectroscopia y la emisión de radiación de cuerpo negro.
  • La bobina de Ruhmkorff

    La bobina de Ruhmkorff

    Heinrich Daniel Ruhmkorff o Rühmkorff, se dedicó principalmente a la construcción de aparatos e instrumentos eléctricos de gran calidad y precisión
  • corrientes de Foucault

    corrientes de Foucault

    Léon Foucault, inventó el giroscopio, demostró la rotación de la tierra mediante un péndulo que creó al efecto y midió la velocidad de la luz mediante espejos giratorios
  • Teorema de Gauss de la electrostática

    Teorema de Gauss de la electrostática

    explica el desplazamiento eléctrico y la carga libre en un condensador
  • Relación entre los efectos Seebeck y Peltier, cable flexible

    Relación entre los efectos Seebeck y Peltier, cable flexible

    William Thomson, realizó muchos trabajos de investigación física, por ejemplo, el análisis teórico sobre transmisión por cable, que hizo posible el desarrollo del cable transatlántico. Definió la Segunda Ley de la Termodinámica. Inventó el cable flexible.
  • La primera dinamo

    La primera dinamo

    Zénobe-Théophile Gramme, construyó la primera máquina de corriente continua denominada dinamo que fue un punto de partida de la nueva industria eléctrica. Una dinamo es una máquina destinada a la transformación de energía mecánica en eléctrica mediante el fenómeno de la inducción electromagnética.
  • El primer tubo de rayos catódicos

    El primer tubo de rayos catódicos

    Johann Wilhelm Hittorf, es considerado precursor del tubo de Crookes con el que William Crookes dedujo la existencia de los rayos catódicos.
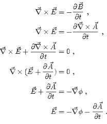
  • Las cuatro ecuaciones de Maxwell

    Las cuatro ecuaciones de Maxwell

    James Clerk Maxwell, es conocido principalmente por haber desarrollado un conjunto de ecuaciones que expresan las leyes fundamentales de la electricidad y el magnetismo así como por la estadística de Maxwell-Boltzmann en la teoría cinética de gases.
  • El teléfono

    El teléfono

    Graham Bell
  • Finales del siglo XIX: el tiempo de los ingenieros

    Finales del siglo XIX: el tiempo de los ingenieros

    Los años centrales del siglo XIX habían presenciado extraordinarios avances en la aplicación de la electricidad a las comunicaciones y en 1881 se organizó en París una Exposición Internacional de Electricidad y un Congreso Internacional de Electricistas.88​ Aunque para todo ello el conocimiento científico de la electricidad y el magnetismo había sido imprescindible, los técnicos o inventores adquirieron un sentimiento de superioridad, e incluso de reticencia hacia los científicos puros.
  • Locomotora eléctrica

    Locomotora eléctrica

    Ernst Werner von Siemens, construyó en un nuevo tipo de telégrafo, poniendo así la primera piedra en la construcción de la empresa Siemens AG junto a Johann Georg Halske
  • Desarrollo de la lámpara incandescente

    Desarrollo de la lámpara incandescente

    Thomas Alva Edison, ha sido considerado como el mayor inventor de todos los tiempos. Aunque se le atribuye la invención de la lámpara incandescente, su intervención es más bien el perfeccionamiento de modelos anteriores.
  • El sistema trifásico

    El sistema trifásico

    John Hopkinson
  • El suministro de corriente alterna

    El suministro de corriente alterna

    George Westinghouse
  • El efecto fotoeléctrico

    El efecto fotoeléctrico

    Descubierto y descrito por Heinrich Hertz, el efecto fotoeléctrico consiste en la emisión de electrones por un material cuando se le ilumina con radiación electromagnética (luz visible o ultravioleta, en general).
  • Demostración de las ecuaciones de Maxwell y la teoría electromagnética de la luz

    Demostración de las ecuaciones de Maxwell y la teoría electromagnética de la luz

    Heinrich Rudolf Hertz
  • Tesla: desarrollo de máquinas eléctricas, la bobina de Tesla

    Tesla: desarrollo de máquinas eléctricas, la bobina de Tesla

    Desarrolló la teoría de campos rotantes, base de los generadores y motores polifásicos de corriente alterna. Logra construir el motor de inducción de corriente alterna y trabaja en los laboratorios Westinghouse, donde concibe el sistema polifásico para transmitir la electricidad a largas distancias.
  • La histéresis magnética

    La histéresis magnética

    Charles Proteus Steinmetz
  • Los rayos X

    Los rayos X

    Wilhelm Conrad Röntgen, Utilizando un tubo de Crookes, fue quien produjo en 1895 la primera radiación electromagnética en las longitudes de onda correspondientes a los actualmente llamados Rayos X.
  • El inicio del cine

    El inicio del cine

    Los hermanos Lummier:
    Auguste Marie Louis Nicolas Lumière y Louis Jean Lumière
  • La bobina de Pupin y las imágenes de rayos X

    La bobina de Pupin y las imágenes de rayos X

    Michael Idvorsky Pupin, desarrolló un procedimiento para obtener la fotografía rápida de una imagen obtenida mediante rayos X, que solamente requería una exposición de una fracción de segundo en lugar de una hora o más que se empleaba anteriormente.
  • Los rayos catódicos

    Los rayos catódicos

    Joseph John Thomson y demostración de que los rayos catódicos podían ser desviados por un campo magnético y que su carga negativa no era un fenómeno separado.
  • La telegrafía inalámbrica

    La telegrafía inalámbrica

    Guillermo Marconi
  • Las transformaciones de Lorentz y el efecto Zeeman

    Las transformaciones de Lorentz y el efecto Zeeman

    Hendrik Antoon Lorentz realizó un gran número de investigaciones en los campos de la termodinámica, la radiación, el magnetismo, la electricidad y la refracción de la luz, entre las que destaca el estudio de la expresión de las ecuaciones de Maxwell en sistemas inerciales y sus consecuencias sobre la propagación de las ondas electromagnéticas.
  • El experimento de Millikan

    El experimento de Millikan

    principalmente por haber medido la carga del electrón, determinó la carga del electrón. la carga del electrón es la unidad básica de cantidad de electricidad.
  • Superconductividad

    Superconductividad

    Heike Kamerlingh Onnes. se dedicó principalmente al estudio de la física a bajas temperaturas, realizando importantes descubrimientos en el campo de la superconductividad eléctrica.
  • Creación de la televisión

    Creación de la televisión

    Vladimir Zworykin dedicó su vida al desarrollo de la televisión, la electrónica y la óptica,

    un dispositivo que convertía imágenes ópticas en señales eléctricas.
  • Frecuencia modulada

    Frecuencia modulada

    Edwin Howard Armstrong, fue uno de los inventores más prolíficos de la era de la radio, al desarrollar una serie de circuitos y sistemas fundamentales para el avance de este sistema de comunicaciones.

A list shows items. A timeline shows sequence.

Use Timetoast to make dates, milestones, and turning points easier to understand in a clear visual format. Timetoast is a timeline maker for work, school, research, and stories.