Historia

Historia de la electricidad Olvera Guazo Vetsayda Monserrat 3-08 T.M

By olvera
  • Tales de Mileto
    624 BCE

    Tales de Mileto

    Fue el primero en descubrir que si se frota un trozo de ámbar,este atrae objetos mas livianos
  • Otto Von Guericke

    Otto Von Guericke

    Desarrollo de la primera maquina electrostática para producir cargas eléctricas
  • Stephen Gray

    Stephen Gray

    Fue el primero en transmitir electricidad a través de un conductor
  • Ivonkleist

    Ivonkleist

    Creo una botella de Leyden en la cual se almacenaba electricidad estática
  • Benjamin Franklin

    Benjamin Franklin

    Naturaleza estática. Explico que la electricidad es un fluido existente en la materia
  • Benjamín Franklin

    Benjamín Franklin

    Inventa el pararrayos
  • Alessandro Volta

    Alessandro Volta

    Invento el electróforo perpetuo, un dispositivo que una vez que se encuentra cargado puede transferir electricidad a otros objeto
  • Agustin Coulumb

    Agustin Coulumb

    Invento la balanza de torsión para medir fuerzas de atracción o repulsión de dos cargas eléctricas
  • Benjamín Franklin

    Benjamín Franklin

    Desarrollo una teoría según la cual la electricidad era un fluido único existente en toda materia y califico a las sustancias en eléctricamente positivas y eléctricamente negativas, de acuerdo con el exceso o defecto de ese fluido.
  • Luigi Galvani

    Luigi Galvani

    Demostró que los nervios conducen señales a los músculos en forma de corrientes eléctricas
  • Alessandro Volta

    Alessandro Volta

    Inventa la primera pila capaz de producir corriente eléctrica
  • Christian Oersted

    Christian Oersted

    Descubre la relación entre electricidad y magnetismo
  • Michael Faraday

    Michael Faraday

    Un alambre con corriente graba al rededor de un imán transformando la electricidad en movimiento mecánico "motor eléctrico rudimentario" bobinas
  • Thomas Johann

    Thomas Johann

    Descubrió la termoelectricidad
  • William Sturgeon

    William Sturgeon

    Invento el electroimán
  • Georg Simon Ohm

    Georg Simon Ohm

    Estudió la relación que existe entre la intensidad de una corriente eléctrica, su fuerza electromotriz y la resistencia, formulando la ley que lleva su nombre que establece que: I = V/R.
  • Joshep Herny

    Joshep Herny

    Fabrico el primer motor eléctrico funcional que usaba corriente de una pila
  • Michael Faraday

    Michael Faraday

    Descubrió la inducción electromagnética, demostró la inducción de una corriente eléctrica por otra, e introdujo el concepto de lineas de fuerza para representar los campos magnéticos.
  • Charles Wheatstone

    Charles Wheatstone

    Fue el primero en aplicar el circuito eléctrico que lleva su nombre (puente de Wheatstone), para medir resistencias eléctricas
  • Heinrich Friederich Lenz

    Heinrich Friederich Lenz

    Formula la ley de oposición de las corrientes inducidas que lleva su nombre. Ley de Lenz: El sentido de las corrientes o fuerza electromotriz inducida es tal que se opone siempre a la causa que la produce, o sea, a la variación del flujo.
  • William Sturgeon

    William Sturgeon

    Invento el primer galvanometro de bobina giratoria
  • James Prescott Joule

    James Prescott Joule

    Envió un manuscrito a la Royal Society donde se enunciaba esta ley, que se conoce actualmente como ley de Joule.
    Ley de Joule: Todo cuerpo conductor recorrido por una corriente eléctrica, desprende una cantidad de calor equivalente al trabajo realizado por el campo eléctrico, para transportar las cargas de un extremo a otro del conductor.
  • William Staite

    William Staite

    Invento la lampara de arco
  • William Thomson

    William Thomson

    Definió la segunda ley de la termodinámica
  • León Foucault

    León Foucault

    Fue uno de los primeros en demostrar la existencia de corrientes inducidas, en los núcleos de circuitos magnéticos (hoy llamadas corrientes de Foucault en su honor)
  • William Thomson

    William Thomson

    Invento el cable flexible
  • León Foucacult

    León Foucacult

    Utilizando un aparato con un espejo rotatorio, consiguió medir con precisión, por vez primera, la velocidad de la luz.
    Determinó la velocidad de la luz en 298000 km/s, 10000 km/s menos que la obtenida por anteriores experimentadores y solamente 0,6% de diferencia con el valor actualmente aceptado.
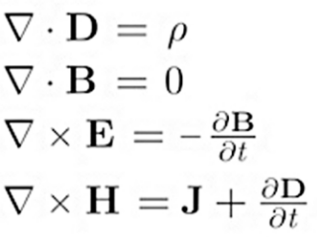
  • James Clerk Maxwell

    James Clerk Maxwell

    Demostró la relación matemática entre los campos eléctricos y magnético, formulando las ecuaciones fundamentales del electromagnetismo,que relacionan el campo eléctrico y el magnético para una distribución espacial de cargas y corrientes
  • Thomas Alva

    Thomas Alva

    Creo una lampara incandescente con un filamento de algodón carbonizado
  • John Hopkinson

    John Hopkinson

    Fue el descubridor del sistema trifasico (es un sistema de producción, distribución y consumo de energía eléctrica formado por tres corrientes alternas monofásicas de igual frecuencia y amplitud )para la generación y distribución de la corriente eléctrica
  • John Hopkinson

    John Hopkinson

    Dio a conocer el principio de los motores sincronos
  • Nikola Tesla

    Nikola Tesla

    Invento el motor de corriente y generador eléctrico "Microscopio eléctrico"
  • Joseph John Thompson

    Joseph John Thompson

    Descubrió el electrón y el descubrimiento del electrón lo realizo al comprobar que los rayos catodicos estaban formados por partículas cargadas negativamente
  • Guglielmo Marconi

    Guglielmo Marconi

    Invento el primer sistema practico de señales telegráficas sin hilos, que dio origen a la radio actual.
  • Nikola Tesla

    Nikola Tesla

    se convirtió en un colaborador importante para el nacimiento de la electricidad comercial por ser considerado el padre de la corriente alterna.
  • Albert Einstein

    Albert Einstein

    Postula que la energía de un haz luminoso esta concentrada en pequeños paquetes
  • Robert Andrews

    Robert Andrews

    Descubre la carga del electrón
  • Edwin Howard Armstrong

    Edwin Howard Armstrong

    Desarrollo el circuito regenerador, que permitía la amplificación de las débiles señales de radio
  • Edwin Howard Armstrong

    Edwin Howard Armstrong

    Desarrollo el circuito superheterodino, que dio un gran impulso a los receptores de amplitud modulada (AM)
  • Edwin Howard Armstrong

    Edwin Howard Armstrong

    Desarrollo el circuito superregenerador, muy importante en las comunicaciones con dos canales
  • Vladimir Zworykin

    Vladimir Zworykin

    Creo la televisión
  • Robert Watson watt

    Robert Watson watt

    Creo el radar

Want to make a timeline like this?

Use Timetoast to turn dates, events, milestones, and phases into a clear visual timeline you can build and share. Timetoast is a timeline maker for work, school, research, and stories.