Historia de la electricidad

By stood
  • Period: 499 BCE to 323 BCE

    Ámbar

    Los griegos utilizaron el ámbar para hacer choques eléctricos, que este efecto tiempo después seria visto como espectáculo
  • Isaac Newton en el Royal Sociedity

    Isaac Newton en el Royal Sociedity

    Isaac Newton se hace con el control de la Royal Sociedity tras la muerte de Robert Huck
  • Henry Cavendish

    Henry Cavendish

    Realizo experimentos con el pez torpedo, definiendo la carga eléctrica y la diferencia de potencial (voltaje)
  • Invenciones de Hauksbee

    Invenciones de Hauksbee

    Hauksbee realiza experimentos para impresionar a sus maestros, como la esfera de cristal giratoria
  • Stephen Gray

    Stephen Gray

    Chartel House acoge a Stephen Gray, donde se le dio la oportunidad de realizar sus experimentos, creando el termino aislante y conductores
  • Experimento del pan de oro

    Experimento del pan de oro

    Se realizo el experimento del pan de oro
  • Period: to

    Botella de leyden

    Fue el evento mas significativo de la época, realizado por el Doctor Pieter Van Musschenbroek
  • Experimentos del razonamiento de Benjamín Franklin

    Experimentos del razonamiento de Benjamín Franklin

    Franklin razono acerca del rayo, los británicos se encargaron de realizar sus experimentos, como el pararrayos, probando los polos positivos y negativos
  • Estimulación de músculos

    Alrededor de esta fecha, se usaba la electricidad en Bolonia para estimular los músculos
  • De animali electricitate

    De animali electricitate

    Se publica el libro "de animali elecricitate"
  • Luigi Galvani

    Luigi Galvani

    Muere Luigi Galvani
  • Creación de la primera pila

    Creación de la primera pila

    Alessandro Volta crea la primera pila, con corriente eléctrica continua
  • Period: to

    Luz en hogares

    Por estas fechas se usaba la quema de materia para generar luz, tiempo después se uso el gas
  • Experimento conflictivo

    Experimento conflictivo

    Giovanni Aldini experimenta con el cuerpo de un asesino aplicándole electricidad
  • Batería mas grande del mundo

    Batería mas grande del mundo

    Humphrey Davy construyo la batería mas grande del mundo en una clase de Londres
  • Llegada de Faraday

    Llegada de Faraday

    Faraday llega a Gran Bretaña, a la Royal Institution
  • Se integra a la Royal Insitution

    Se integra a la Royal Insitution

    En esta fecha, Faraday se integra a la Royale Institution como asistente
  • Hans Oersted

    Hans Oersted

    Probo, mediante la aplicación de corriente a una bobina, que la corriente crea una fuerza magnética, el electromagnetismo
  • Primer motor de la historia

    Primer motor de la historia

    Faraday crea el primer motor de la historia
  • Flujo continuo

    Faraday genera un flujo continuo de energía mediante un movimiento mecánico
  • Telegrafo

    Telegrafo

    Samuel Morse creo el servicio de mensaje con el telégrafo
  • Avance del telégrafo

    Las calles estaban con cables de telégrafo
  • Cable trasatlantico

    Cable trasatlantico

    Se logra conectar cables de telégrafo entre Terranova e Irlanda, tuvo varios fallos y tiempo después dejo de funcionar
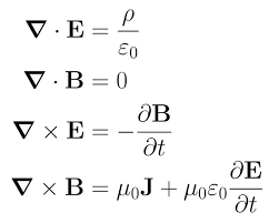
  • Leyes de Maxwell

    Leyes de Maxwell

    Maxwell publica sus leyes sobre la electricidad y magnetismo
  • Avances

    Se logra enviar un mensaje claro entre Irlanda y Terranova
  • El reto de Edison

    El reto de Edison

    Thomas Edison toma el reto de llevar electricidad a la ciudad, empezando en Nueva York
  • Central electrica

    Central electrica

    Edison lanza su primera central eléctrica
  • Guerra de las corrientes

    Se hicieron demostraciones para demostrar que corriente es mas peligrosa continua o alterna
  • Ayuda económica para Tesla

    Ayuda económica para Tesla

    Nikola Tesla logro contactar con un patrocinador para hacer realidad sus ideas de la corriente alterna, por Westinghouse
  • Pruebas de la teoría de Maxwell

    Pruebas de la teoría de Maxwell

    Hertz termino ganando la demostración al publico acerca de las teorías de Maxwell, ganándole a Oliver Joseph Lodge
  • Primera muerte

    Muere la primera persona electrocutada
  • Prueba de la corriente alterna

    Prueba de la corriente alterna

    Nikola Tesla muestra sobre el manejo seguro de la corriente continua con un traje especial
  • Muerte de Hertz

    Muere Hertz y mientras que Oliver Joseph Lodge continuaba en demostrar las ondas
  • Charla en Oxford

    Oliver Joseph Lodge da una charla en Oxford
  • Celebracion

    Gente se reúne en Oxford ara celebrar el avance de la ciencia
  • Guillermo Marconi

    Guillermo Marconi

    Llega a Londres Guillermo Marconi, creador de la radio
  • Uso de válvulas

    Uso de válvulas

    Se empezó a usar las válvulas en la electrónica
  • Estudio de la electricidad

    Se empezó a estudiar la electricidad de forma atómica
  • Premio Nobel

    Premio Nobel

    Se le es entregado a Marconi el premio nobel por su comunicación inalámbrica
  • Modelo atómico

    En esta época el modelo atómico contaba con un núcleo positivo u electrones girando a su alrededor en orbitas
  • Muere Nikola Tesla

  • Transitores

    Se mostro el transitor pero no eran tan buenos como los amplificadores
  • Amplificadores

    Amplificadores

    Tras finalizar la guerra, se logro crear un amplificador funcional con el uso de materiales semiconductores por parte de H. F. Matare
  • Laboratorio de semiconductores

    Se abre un laboratorio especializado en materiales semiconductores en California
  • Superconductores

    Superconductores

    Se descubrió los materiales superconductores a temperaturas muy bajas

A list shows items. A timeline shows sequence.

Use Timetoast to make dates, milestones, and turning points easier to understand in a clear visual format. Timetoast is a timeline maker for work, school, research, and stories.