Acelerador de partículas

Física del siglo XX

  • Experimento de Michelson y Morley

    Experimento de Michelson y Morley

    Fue realizado por Albert Abraham Michelson (Premio Nobel de Física en 1907) y Edward Morley. La instrumentación utilizada era un interferómetro de Michelson. Supuso la base experimental de la posterior teoría de la relatividad especial de Einstein y desechaba la existencia del éter, medio que se había postulado como necesario para la propagación de la luz.
  • Descubrimiento del efecto fotoeléctrico (H. Hertz)

    Descubrimiento del efecto fotoeléctrico (H. Hertz)

    En 1887, el físico alemán Heinrich Hertz (1857-1894) realizó experimentos sobre producción y recepción de ondas electromagnéticas y descubrió experimentalmente el efecto fotoeléctrico, por el que determinados metales pueden emitir electrones cuando se exponen a la luz.
  • Descubrimiento de los rayos X

    Descubrimiento de los rayos X

    En 1895, el físico alemán Wilhelm Röntgen, durante el estudio de descargas eléctricas en gases, descubrió la existencia de una radiación invisible que podía ionizar el gas y originar fluorescencia en él. Los llamó "rayos X" porque desconocía lo que eran. Se trataba de una radiación muy penetrante que podía atravesar grandes espesores de papel e incluso de metales poco densos y los tejidos blandos del cuerpo humano. Esto posibilitó la realización de la primera radiografía humana.
  • Descubrimiento de la radiactividad

    Descubrimiento de la radiactividad

    La radiactividad fue descubierta en 1896 por el físico francés Henri Becquerel cuando trabajaba con materiales fosforescentes. Envolvió una placa fotográfica en papel negro y colocó sobre él una muestra de uranio. Al revelar la placa, observó ennegrecimiento. Inicialmente se explicó a partir de la fosforescencia de las sales de uranio, pero más adelante descubrió que con sales sin propiedades luminiscentes también se ennegrecía la placa. Este fenómeno fue llamado radiactividad por Marie Curie.
  • Descubrimiento del electrón

    Descubrimiento del electrón

    El electrón fue descubierto en 1897 por J. J. Thomson durante la realización de experimentos en tubos de descarga con el objetivo de estudiar la conductividad de gases a baja presión. Se observó una luminiscencia en la pared del tubo opuesta al cátodo que se debía a un chorro de partículas cargadas negativamente que parecía provenir del cátodo. Estas partículas, que inicialmente recibieron el nombre de rayos catódicos, eran los electrones.
  • Hipótesis de Planck

    Hipótesis de Planck

    Fue postulada por el físico alemán Max Planck en 1900 y establecía que los átomos de la materia se comportan como osciladores armónicos y cada uno de ellos absorbe o emite energía en una cantidad proporcional a su frecuencia de vibración, "f": E = h·f, donde "h" es la constante de Planck. Así, de acuerdo con la hipótesis de Planck, la radiación no se emite de forma continua, sino de forma discreta, a través de múltiplos enteros "n" de una cantidad elemental (cuanto de energía): E = n·h·f.
  • Transformaciones de Lorentz

    Transformaciones de Lorentz

    Fueron publicadas en 1904 por el físico neerlandés Hendrik Antoon Lorentz (1853-1928). Estas relacionan las medidas de una magnitud física que miden dos observadores inerciales distintos. Representan la base matemática de la teoría de la relatividad especial de Einstein.
  • Modelo atómico de Thomson

    Modelo atómico de Thomson

    Thomson propone un modelo de átomo que rompe con la idea de partícula indivisible propuesta por J. Dalton en 1808. Así, consideraba que el átomo estaba formado por cargas negativas (electrones) incrustados en una esfera grande con carga positiva. El átomo es eléctricamente neutro porque la carga negativa total de los electrones es la misma que la positiva de la masa esférica en la que están incrustados. De forma más coloquial, este modelo se conoce como "modelo del pudin de pasas".
  • Teoría de la relatividad especial (A. Einstein)

    Teoría de la relatividad especial (A. Einstein)

    Fue publicada en 1905 por Albert Einstein. Se basaba en dos postulados fundamentales:
    1. Principio especial de relatividad: las leyes de la física son las mismas en todos los sistemas de referencia inerciales. Es decir, no existe un sistema de referencia inercial privilegiado frente a los demás.
    2. Invariancia de "c": la velocidad de la luz en el vacío es una constante universal, c, independiente del movimiento de la fuente de luz.
  • Explicación teórica del efecto fotoeléctrico

    Explicación teórica del efecto fotoeléctrico

    La explicación teórica del efecto fotoeléctrico se debe a Albert Einstein, que publicó en 1905 la obra "Heurística de la generación y conversión de la luz" basándose en la hipótesis de Planck, lo que le valió el Premio Nobel de Física en 1921. De acuerdo con esta explicación, los electrones son arrancados del metal cuando la radiación incidente posee una energía superior a un valor umbral (función de trabajo). La luz está constituida por partículas elementales llamadas fotones, de energía E=h·f.
  • Modelo atómico de Rutherford

    Modelo atómico de Rutherford

    El físico neozelandés Ernest Rutherford propuso en 1911 un modelo atómico tras la realización de una experiencia en la que se bombardeaba una lámina de oro con partículas α. Según este, los átomos contienen un núcleo, que se sitúa en su centro, representa la mayor parte de su masa y concentra las cargas positivas (protones); y los electrones, que se mueven alrededor del núcleo.
  • Modelo atómico de Bohr

    Modelo atómico de Bohr

    En 1913, Niels Bohr desarrolló un nuevo modelo del átomo basado en tres postulados:
    1. Los electrones describen órbitas circulares en torno al átomo sin irradiar energía.
    2. Las únicas órbitas permitidas para un electrón son aquellas para las que el momento angular, L, del electrón es un múltiplo entero de ħ = h/(2π).
    3. El electrón solo emite o absorbe energía en los saltos de una órbita permitida a otra a través de la emisión o absorción de un fotón.
  • Teoría de la relatividad general (A. Einstein)

    Teoría de la relatividad general (A. Einstein)

    En esta teoría es capaz de manejar sistemas de referencia no inerciales, es decir, aquellos sistemas de referencia con una cierta aceleración. Así, se incluyen los efectos de la gravedad. Se trata de una teoría sobre la gravedad que corrige la gravitación newtoniana, aunque coincide numéricamente con esta para velocidades y campos gravitatorios pequeños. Explica la interacción gravitatoria como una deformación en la geometría del espacio-tiempo
  • Experimento de Stern-Gerlach

    Experimento de Stern-Gerlach

    Se considera un experimento fundamental para el nacimiento unos años después de la mecánica cuántica. Consistía en enviar un haz de átomos de Ag a través de un campo magnético no uniforme que los desvía de su trayectoria inicialmente rectilínea, según la orientación del momento magnético del átomo. Clásicamente, se debería observar una franja vertical continua. Sin embargo, se observó que todas las partículas se desviaban hacia arriba o hacia abajo: el momento magnético está cuantizado.
  • Efecto Compton

    Efecto Compton

    Fue descubierto en 1923 por el físico estadounidense Arthur Compton (1892-1962) al estudiar la dispersión de rayos X por grafito. Observó que cuando se hacía incidir un haz de rayos X de longitud de onda λ sobre una lámina de grafito, los haces dispersados en ángulos distintos al incidente tenían longitudes de onda λ' mayores que la original.
  • Dualidad onda-partícula

    Dualidad onda-partícula

    El físico francés Louis-Victor de Broglie formuló en 1924 la hipótesis de que toda la materia presenta características tanto ondulatorias como corpusculares comportándose de un modo u otro dependiendo del experimento específico. De acuerdo con esta hipótesis, que se enmarca dentro de la mecánica cuántica, toda partícula en movimiento lleva una onda asociada, de longitud de onda λ = h/p, siendo p el momento lineal de la partícula. Esto le valió a de Broglie el Premio Nobel de Física en 1929.
  • Principio de exclusión de Pauli

    Principio de exclusión de Pauli

    Enunciado en 1925 por el físico teórico Wolfgang Ernst Pauli, establece que en un átomo multielectrónico, no puede haber más de un electrón en el mismo estado cuántico; es decir, los electrones en el átomo no pueden tener iguales sus cuatro números cuánticos. Este principio no solo es válido para electrones, sino en general para cualquier tipo de fermión (partículas de espín semientero).
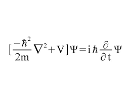
  • Mecánica ondulatoria

    Mecánica ondulatoria

    En 1926, Erwin Schrödinger publicó su teoría denominada mecánica ondulatoria, que fue una de las teorías antecedentes de la mecánica cuántica. Esta teoría describe el comportamiento de la materia por medio de funciones de onda dependientes de la posición y el tiempo, que proporciona una descripción del estado en que se encuentra un sistema. Satisfacen la ecuación de Schrödinger, que describe la evolución de las funciones de onda con el tiempo de forma determinista.
  • Experimento de Davisson-Germer

    Experimento de Davisson-Germer

    Fue realizado por los físicos estadounidenses C. J. Davisson y L. H. Germer y demostró experimentalmente la hipótesis de de Broglie: los electrones dispersados por la superficie de un cristal de Ni originaban un patrón de difracción, siendo la primera vez que se observaba un fenómeno de difracción (propio de las ondas) asociado a partículas. También en 1927, G. P. Thomson verificó con mayor precisión la relación de De Broglie. Thomson y Davisson recibieron el Premio Nobel de Física en 1937.
  • Principio de indeterminación

    Principio de indeterminación

    Enunciado en 1927 por el físico alemán Werner Heisenberg, establece que no es posible determinar de forma simultánea el valor de la posición x y del momento lineal p de un objeto cuántico con una precisión arbitrariamente pequeña:
    Δx·Δp ≥ h/(4π) Formulado alternativamente, no es posible determinar de forma simultánea el valor de la energía E y el intervalo de tiempo t que debe transcurrir para poder observar una variación de la energía con una precisión arbitrariamente pequeña:
    ΔE·Δt ≥ h/(4π)
  • Descubrimiento del neutrón

    Descubrimiento del neutrón

    E. Rutherford predijo teóricamente la existencia del neutrón en 1920. Sin embargo, no fue hasta 1932 cuando James Chadwick lo descubrió y documentó. Estas nuevas partículas debían encontrarse también en el núcleo del átomo y tenían una masa muy similar (ligeramente superior) a la de los protones: m = 1,674·10^(-27) kg. En 1935, Chadwick recibió el Premio Nobel de Física por el descubrimiento del neutrón.
  • Descubrimiento del muón

    Descubrimiento del muón

    Los muones fueron descubiertos en 1936 por Carl David Anderson al estudiar la radiación cósmica. Se trata de partículas elementales pertenecientes al grupo de los leptones, con espín 1/2 y carga -e. Su masa es unas 207 veces superior a la del electrón y su vida media es 2,2·10^(-6) s. La desintegración de un muón origina un electrón, un antineutrino y un neutrino.
  • Descubrimiento de la fisión nuclear

    Descubrimiento de la fisión nuclear

    En 1938, el químico alemán Otto Hahn y su ayudante Fritz Strassmann descubrieron la fisión nuclear a propuesta de la física Lise Meitner, que la explicó teóricamente en 1939 junto con su sobrino Otto Robert Frisch. Lise Meitner fue la primera mujer en convertirse en profesora titular de física en Alemania, un puesto que perdió en la década de 1930 debido a las leyes raciales de Nuremberg de la Alemania nazi. En 1938 huyó a Suecia. El Premio Nobel de Química fue otorgado solo a O. Hahn (1944).
  • Reacción nuclear en cadena

    Reacción nuclear en cadena

    En 1939, un equipo de físicos de la Universidad de Columbia (Nueva York) liderados por Enrico Fermi postularon que podía iniciarse una reacción nuclear en cadena suministrando neutrones adicionales a los generados en la fisión del uranio. La multiplicación de neutrones en la fisión del uranio daría lugar a una reacción en cadena en la que se emitiría una gran cantidad de energía.
  • Descubrimiento del tauón

    Descubrimiento del tauón

    Los tauones fueron descubiertos en 1975 por Martin Lewis Perl. Se trata de partículas elementales que pertenecen al grupo de los leptones. Su masa es casi el doble que la del protón. Tienen una vida media muy corta, de 2,9·10^(-13) s. Un 18 % de las veces decae en un electrón y dos neutrinos, y otro 18 % en un muon y dos neutrinos. El porcentaje restante corresponde a desintegraciones en forma de hadrones y un neutrino.

A list shows items. A timeline shows sequence.

Use Timetoast to make dates, milestones, and turning points easier to understand in a clear visual format. Timetoast is a timeline maker for work, school, research, and stories.