- 
  
  Fue descubierta por Tales De Mileto. Concluyó que si uno frota un trozo de ámbar atrae pedazos de paja.
- 
  
  Descubre que la electrificación no estaba limitada al ambarino.
- 
  
  Hans Oersted observó al encender y apagar un circuito, la electricidad produce magnetismo.
- 
  
  estableció los principios de la electrodinámica.
- 
  
  Descubrieron que cuando un magneto se mueve cerca de un alambre, hay corriente eléctrica.
- 
  
  Él construyó el primer telégrafo.
- 
  
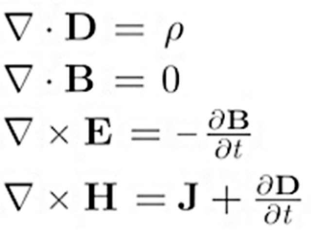
  Formuló leyes de electromagnetismo.
- 
  
  Alexander Graham Bell inventó el primer teléfono.
- 
  
  Henrich Hertz produce ondas electromagnéticas en base a las predicciones de Maxwell.
- 
  
  Desarrolló la teoría de campos rotantes, base de generadores y motores poliestáticos de corriente alterna.
- 
  
  Construye el trípodo.
- 
  
  Formuló el principio de la mínima producción de la magnitud.
