Índice

Electromagnetismo

  • Period: to

    Alessandro Volta

    A. Volta fue un químico y físico italiano, descubrió el metano e invento la pila eléctrica
  • Period: to

    André Marie Ampère

    Fue un matemático y físico francés
  • Se descubre el metano

    Se descubre el metano

  • Period: to

    Hans Christian Orsted

    Fue un físico y químico danés
  • Period: to

    Michael Faraday

    Fue un físico británico
  • Period: to

    Joseph Henry

    Fue un físico estadounidense
  • se inventa la pila eléctrica

    se inventa la pila eléctrica

  • Period: to

    Heinrich Lenz

    Fue un físico alemán del Báltico
  • Period: to

    Theophile Gramme

    Fue un técnico Belga
  • Teoría del electromagnetismo

    Teoría del electromagnetismo

  • Se crea el Telégrafo

    Se crea el Telégrafo

  • Experimento de Faraday

    Experimento de Faraday

  • Period: to

    James Clerk Maxwell

    Fue un científico escocés, físico-matemático
  • Se crea la ley de Lenz

  • Period: to

    Nikola Tesla

    Fue un inventor, ingeniero eléctrico y mecánico serbocroata
  • Period: to

    Heinrich Hertz

    Fue un físico alemán
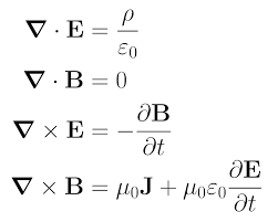
  • Leyes de Maxwell

    Leyes de Maxwell

  • La luz es una onda em

    Hertz descubre esto al resolver las ecuaciones de Maxwell
  • Efecto fotoeléctrico

  • Estudios del campo magnético por Tesla

Looking for a timeline maker?

Create timelines for projects, roadmaps, history, lessons, legal cases, and stories with Timetoast. Timetoast is a timeline maker for work, school, research, and stories.