6140d0e085b32

Electrifying

  • El ámbar
    600 BCE

    El ámbar

    El filósofo griego Tales de Mileto observo que, frotando una varilla de ámbar con una piel o con lana, podía atraer cuerpos pequeños. También había observado que si la frotaba mucho tiempo podía causar el salto de una chispa.
  • Efecto piroeléctrico
    314 BCE

    Efecto piroeléctrico

    El calor se puede convertir en electricidad a través del llamado efecto piroeléctrico, un fenómeno descrito por primera vez por el filósofo griego Teofrasto en el año 314 a.C. cuando se dio cuenta de que la turmalina (una piedra preciosa) producía electricidad estática y atraía las briznas de paja al calentarse
  • La brújula

    La brújula

    Fue uno de los primeros filósofos naturales de la era moderna en realizar experimentos con la electrostática y el magnetismo. Definió el término de fuerza eléctrica como el fenómeno de atracción que se producía al frotar ciertas sustancias.
  • Generador electrostático

    Generador electrostático

    El físico alemán Otto von Guericke, construyó la primera máquina electrostática capaz de producir triboelectricidad. Esta máquina consistía en una bola de azufre que hacía girar con una mano y frotaba con la otra.
    Con la bola de azufre cargada, se observaron manifestaciones que hoy asociamos a la electricidad estática, como chispas, chisporroteos y atracción y repulsión de objetos livianos.
    Años después notó que al rotar la esfera se producía un brillo, este era la electroluminiscencia.
  • Botella de Leyden

    Botella de Leyden

    Ewald Jürgen von Kleist, clérigo luterano de la catedral de Cammin (Pomerania) y aficionado a la física, presentaba un artefacto de su invención capaz de almacenar electricidad mediante descargas.
    La botella de Leyden, es un dispositivo eléctrico realizado con una botella de vidrio que permite almacenar cargas eléctricas. Históricamente, la botella de Leyden fue el primer tipo de condensador eléctrico.
  • Los rayos

    Los rayos

    Benjamin Franklin sugiere que los rayos son de naturaleza eléctrica y propone un experimento para demostrarlo:
    Un día de tormenta salió a campo abierto con una cometa de armazón metálico a la que anudó una llave, que fue receptora de un rayo. Aquello demostraba su teoría de que las nubes estaban cargadas de electricidad, así que los rayos eran, sin duda, descargas eléctricas.
    Invento el pararrayos.
  • Cargas eléctricas

    Cargas eléctricas

    El francés Francois de Cisternay Du Fay fue el primero en identificar la existencia de dos cargas eléctricas, las cuales denomino vitria y resinosa (positiva y negativa)
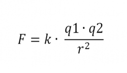
  • Ley de Coulomb

    Ley de Coulomb

    Charles Agustín de Coulomb inventó la balanza de torsión con la cual, midió con exactitud la fuerza entre las carga eléctricas y corroboró que dicha fuerza era proporcional al producto de las cargas individuales e inversamente proporcional al cuadrado de la distancia que las separa.
    Coulomb es la unidad de medida de carga eléctrica.
  • Celda electrostática

    Celda electrostática

    Alejandro Volta construye la primera celda Electrostática y la batería capaz de producir corriente eléctrica. Su inspiración le vino del estudio realizado por el Físico Italiano Luigi Galvani sobre las corrientes nerviosas-eléctricas en las ancas de ranas.
  • Electroquímica

    Electroquímica

    Sir Humpry Davy descubre la electroquímica. Observa el arco eléctrico y la incandescencia en un conductor energizado con una batería.
    De sus investigaciones en electroquímica destaca la obtención de los elementos de un compuesto por medio de la electrólisis. En 1807 consiguió aislar el sodio y el potasio a partir de sus hidróxidos, y en 1808, los metales alcalinotérreos.
  • Electromagnetismo

    Electromagnetismo

    En 1920 descubrió por casualidad que una corriente eléctrica desvía una brújula magnética colocada en sus proximidades. Este hallazgo constituye la primera evidencia de la relación existente entre electricidad y magnetismo, y fue precursor de los posteriores trabajos de Ampère y Faraday. En su honor, recibe su nombre la unidad de la intensidad de campo magnético en el sistema de unidades cgs.
  • Ley de Biot-Savart

    Ley de Biot-Savart

    Jean-Baptise Biot y Felix Savart determinan esta ley, mediante la cual calculan la fuerza que ejerce un campo magnético sobre una carga eléctrica y definen que la intensidad del campo magnético producido por una corriente eléctrica es inversamente proporcional al cuadrado de la distancia
  • Electroimán

    Electroimán

    En 1825 expuso ante el público su primer electroimán, lo mostró envuelto, para demostrar su poder, realizó el levantamiento de 9 libras de peso, con una pieza de siete gramos de hierro con alambre a través del cual circulaba una corriente de una batería, luego en 1832, demostró por primera vez la el uso de la corriente directa en un motor eléctrico que incorpora un conmutador.
  • Ley de las corrientes eléctricas

    Ley de las corrientes eléctricas

    El alemán Georg Simón Ohm formulo esta ley, definiendo la relación entre la tensión y la corriente así: La intensidad de corriente que atraviesa un circuito es directamente proporcional al voltaje o tensión del mismo e inversamente proporcional a la resistencia que presenta.
  • Rayos catódicos

    Rayos catódicos

    El científico Julios Plücker descubrió los rayos catódicos, que son corrientes de electrones en tubos de vacío, es decir en los tubos de cristal que se equipan por lo menos con dos electrodos, un cátodo y un ánodo en una configuración conocida como Diodo. Cuando se calienta el cátodo, emite una cierta radiación que viaja hacia el ánodo.
  • Lámpara de Arco

    Lámpara de Arco

    William Staite recibió el crédito por el desarrollo de la lámpara de arco, estas lámparas fueron comercializadas a partir de 1876 con las mejoras realizadas por Paul Jablochkoff.
  • El teléfono

    El teléfono

    Alexander Graham Bell inventó el teléfono, referido como un aparato que transmitía sonidos por un cable a través de señales eléctricas. Durante mucho tiempo Bell fue considerado el inventor del teléfono, junto con Elisha Gray.
  • Lámpara incandescente

    Lámpara incandescente

    Thomas Alva Edinson produce la primera lámpara incandescente con un filamento de algodón carbonizado. Este filamento permaneció encendido por 44 horas.
  • Ondas electromagnéticas

    Ondas electromagnéticas

    Heinrich Rudolf Hertz demostró la validez de las ecuaciones de Maxwell y las rescribió. En 1888 Hertz recibió el reconocimiento por sus trabajos sobre las Ondas Electromagnéticas: propagación, polarización y reflexión de ondas. Con Hertz se abre la puerta para el desarrollo de la radio.
  • Teoría de campos rotantes

    Teoría de campos rotantes

    Nikola Tesla desarrolló la teoría de campos rotantes, que es la base de los generadores y motores polifásicos de corriente alterna. A Tesla se le puede considerar el padre del sistema eléctrico del que gozamos hoy en día.
    "Tesla es" la unidad de medida de la densidad del flujo magnético.
  • Planta de generación

    Planta de generación

    George Westinghouse pone en servicio la primera planta de Generación de Electricidad en C. A. Los derechos de patentes de Tesla sobre sus sistemas de corriente alterna, transformadores, motores y generadores, los vendió a George.
    En 1893 en la feria de Chicago Westinghouse y Tesla presentaron todo un sistema eléctrico en CA a escala a fin de demostrar sus bondades.
  • Actualmente

    Actualmente

    Actualmente usamos todo lo descubierto anteriormente en nuestro día a día, en actividades como la iluminación, la climatización, los electrodomésticos y demás. Cada vez con la visión de descubrir más e ir mas adelante

Looking for a timeline maker?

Create timelines for projects, roadmaps, history, lessons, legal cases, and stories with Timetoast. Timetoast is a timeline maker for work, school, research, and stories.