Ss1 1024x585

El inicio

  • Publicacion de "De magnete"

    Publicacion de "De magnete"

    William Gilbert Publica su obra "De magnete" en donde estudia el fenómeno de la electricidad estática.
  • Period: to

    Comienzo del análisis de circuitos.

  • Invención de la primera maquina de fricción.

    Invención de la primera maquina de fricción.

    Otto von Guericke Crea la primera maquina de fricción, Permitiéndole observar la atracción y repulsión de objetos.
  • Se realiza el hallazgo de la conductividad

    Se realiza el hallazgo de la conductividad

    Stephen Gray, comparte los resultados de su hallazgo sobre la conductividad eléctrica en objetos
  • Descubrimiento de las cargas electricas

    Descubrimiento de las cargas electricas

    Charles du Fay, observa por primera vez las cargas positivas y negativas.
  • Se crea la jarra de Leyden

    Se crea la jarra de Leyden

    Pieter van Musschenbroek, presento la jarra de Leyden para almacenamiento de carga eléctrica y demuestra el choque eléctrico.
  • Se demuestra la electricidad de los relampagos

    Se demuestra la electricidad de los relampagos

    Benjamin Franklin, usa la jarra de Leyden para hacer su famoso experimento
  • Se descubre la ley de Coulomb

    Se descubre la ley de Coulomb

    Charles Coulomb, utilizando su balanza de torsión, establece el principio que rige la interacción de las cargas eléctricas.
  • Se Descubre la naturaleza eléctrica del sistema nervioso

    Se Descubre la naturaleza eléctrica del sistema nervioso

    Luigi Galvani, Realizo experimentos sobre los efectos de la electricidad en nervios y musculos
  • Se crea la primera celda voltaica

    Se crea la primera celda voltaica

    Alessandro Volta, creo la "pila eléctrica" mediante la acción química de un metal disolviéndose en acido.
  • Se descubre la relacion entre la electricidad y el magnetismo

    Se descubre la relacion entre la electricidad y el magnetismo

    Hans Ørsted, publica el resultado de su experimento lo que serviría como base de la teoría del electromagnetismo
  • Se demostro la relacion entre efectos magneticos y un conductor portador de corriente

    Se demostro la relacion entre efectos magneticos y un conductor portador de corriente

    André Ampère, formulo su teoría, la que mas tarde se conocería como Ley de ampere
  • Se formula la Ley de Ohm

    Se formula la Ley de Ohm

    Georg Ohm, publica su libro "El circuito galvánico investigado matemáticamente" en el qe expone su teoría de la electricidad
  • Se formula la ley de Faraday

    Se formula la ley de Faraday

    Michael Faraday, observa por primera vez el fenómeno de inducción mutua
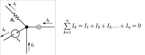
  • Se publican las Leyes de Kirchhoff

    Se publican las Leyes de Kirchhoff

    Gustav Kirchhoff, formula sus leyes que son utilizadas para hallar corrientes y tensiones en cualquier punto de un circuito eléctrico.
  • Se publica la Teoría Electromagnética de la Luz

    Se publica la Teoría Electromagnética de la Luz

    James Maxwell, la cual señala que las ondas electromagnéticas viajan a una velocidad aproximada a la luz
  • Se dan a conocer las Ecuaciones de Maxwell

    Se dan a conocer las Ecuaciones de Maxwell

    James Maxwell, publica su libro "A Dynamical Theory of the Electromagnetic Field" unificando las teorías eléctricas y magnéticas
  • Se consolidan las Ecuaciones de Maxwell

    Se consolidan las Ecuaciones de Maxwell

    Heinrich Hertz, Refino la teoría de Maxwell
  • Se observan por primera vez las Ondas Electromagnéticas de Alta Frecuencia

    Se observan por primera vez las Ondas Electromagnéticas de Alta Frecuencia

    Wilhelm Röntgen, Su descubrimiento dio inicio a la era de la electrónica

Looking for a timeline maker?

Create timelines for projects, roadmaps, history, lessons, legal cases, and stories with Timetoast. Timetoast is a timeline maker for work, school, research, and stories.