Descarga

Eje Inducción Electromagnética

  • Descubrimiento del electromagnetismo

    Descubrimiento del electromagnetismo

    El danés, Hans Christian Oersted descubre el electromagnetismo. Demostró empíricamente que un hilo conductor de corriente podía mover la aguja imantada de una brújula.
  • Ley Biot-Savart

    Ley Biot-Savart

    Jean Baptiste Biot y Félix Savart determinan la ley Biot-Savart la cual calcula la fuerza que
    ejerce un campo magnético sobre una carga eléctrica.
  • Ley de la electrodinámica por André-Marie Ampère

    Ley de la electrodinámica por André-Marie Ampère

    André-Marie Ampère describe las fuerzas que dos conductores paralelos atravesados por
    corriente eléctrica ejercen uno sobre otro. Si el sentido de la corriente es el mismo en los dos conductores,
    estos se atraen, si la corriente se desplaza en sentidos opuestos, los conductores se repelen.
  • Ley de las corrientes eléctricas(Ley de Ohm)

    Ley de las corrientes eléctricas(Ley de Ohm)

    Georg Simon Ohm formuló con exactitud la ley de las corrientes eléctricas, definiendo la
    relación entre la tensión y la corriente.
  • Michael Faraday

    Michael Faraday

    Establece que el magnetismo produce electricidad con el movimiento.
  • Invención del telégrafo

    Invención del telégrafo

    El científico estadounidense David Alter, inventó el primer telégrafo eléctrico americano conocido, en Elderton, Pensilvania, un año antes del telégrafo de Samuel Morse.
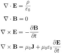
  • Ecuaciones de James Clerk Maxwell

    Ecuaciones de James Clerk Maxwell

    James Clerk Maxwell formuló 4 ecuaciones que sirven de fundamento para la teoría
    electromagnética, consisten en cuatro ecuaciones diferenciales vectoriales que relacionan el campo
    eléctrico, el campo magnético y sus respectivas fuentes materiales.
  • Teoría de campos rotantes

    Teoría de campos rotantes

    Nikola Tesla desarrolla la teoría de campos rotantes, que es la base de los generadores y
    motores de corriente alterna.
  • Primer tríodo

    Primer tríodo

    Lee de Forest construye el primer tríodo. Es una válvula electrónica de amplificación que consta de tres electrodos dispuestos en el interior de una envoltura de vidrio en la que se ha hecho el vacío
  • Teoría de la electrodinámica cuántica

    Teoría de la electrodinámica cuántica

    Shinichiro Tomonaga, Julian Schwinger y Richard Feynman formulan la teoría de la
    electrodinámica cuántica la cual es una de las más exactas de la física hoy en día.

Looking for a timeline maker?

Create timelines for projects, roadmaps, history, lessons, legal cases, and stories with Timetoast. Timetoast is a timeline maker for work, school, research, and stories.