Eje Cronológico Interacción Electromagnética

  • Descubrimiento
    624 BCE

    Descubrimiento

    Tales de Mileto fue uno de los primeros que asoció los fenómenos eléctricos y magnéticos. Además descubrió los primeros imanes permanentes y observó en que si se frotaba el ámbar se produce un efecto atractivo capaz de atraer ciertos objetos pequeños.
  • Period: 624 BCE to

    Eje cronológico Interacción Electromagnética

  • Electrificación

    Electrificación

    William Gilbert descubrió que la electrificación no es un fenómeno físico asociado solamente a ámbar
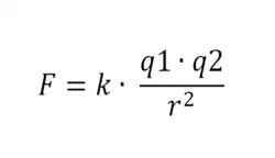
  • Ley de Coulomb

    Ley de Coulomb

    Mediante los experimentos de Charles Coulomb se confirmó que la electrificación no es exclusivo del ámbar y dio nombre al ley (Ley de Coulomb).
  • Demostración de los efectos magnéticos

    Demostración de los efectos magnéticos

    Demostración de los efectos magnéticos producidos por corrientes eléctricas por Hans Christian Oersted y André-Marie Ampère , lo que verificó que las corrientes eléctricas eran una de las fuentes del campo eléctrico. El experimento de Oersted unificó electricidad y magnetismo(electromagnetismo).
  • Ley de Faraday-Henry

    Ley de Faraday-Henry

    La generación de corriente eléctrica a partir de campos magnéticos(inducción magnética) por los descubrimientos de Michael Faraday . Independientemente de de Faraday, Joseph Henry también descubrió la inducción electromagnética aunque más tarde supo que Faraday ya lo había adelantado. Dando lugar al Ley de Faraday-Henry, que nos da el valor de la corriente inducida.
    *El signo menos sería la aportación de Lenz
  • Ley de Lenz

    Ley de Lenz

    La aportación de Heinrich Lenz permitió determinar el sentido de la corriente inducida por la variación de flujo en un circuito (Ley de Lenz).
  • Teoría electromagnética

    Teoría electromagnética

    Tomando como base los experimentos y observaciones de los antecedentes, James Clerk Maxwell formuló la teoría electromagnética conocida actualmente, y dando lugar a su ecuación Maxwell.
  • Verificación de la teoría de Maxwell

    Verificación de la teoría de Maxwell

    Heinrich Hertz verificó experimentalmente la teoría anterior mediante la producción de ondas electromagnéticas en el laboratorio.
  • Invención del ciclotrón

    Invención del ciclotrón

    Invención del ciclotrón por el físico Ernest Lawrence, un dispositivo para acelerar partículas cargadas empleadas para la colisión de partículas, permitiendo el estudio de algunas reacciones nucleares y composición de las partículas.
  • Formulación de electrodinámica cuántica(EDC)

    Formulación de electrodinámica cuántica(EDC)

    Formulación de electrodinámica cuántica(EDC) en el siglo XX por P. A. M. Dirac, W. Heisenberg y W. Pauli, que es la teoría cuántica del campo electromagnético. Describe el fenómeno en el que las partículas cargadas interactúan a través de la fuerza electromagnética.

Plan projects on a visual timeline

Map milestones, phases, deadlines, and key events in one place so the sequence is easier to see and share. Timetoast is a timeline maker for work, school, research, and stories.