Eix cronològic de la segona fase de la Revolució Industrial

By XèniaE
  • Primer Ferrocarril Impulsat per Locomotora

    Primer Ferrocarril Impulsat per Locomotora

    Es va inaugurar el primer ferrocarril públic impulsat per locomotora juntament amb el sistema ferroviari de Gran Bretanya.
  • Primera Comunicació amb Telègraf

    Primera Comunicació amb Telègraf

    Es va produir des de Washington a Baltimore per Samuel Morse i el seu ajudant. El codi Morse ve del seu nom.
  • Es Comença a Extreure Petroli

    Es Comença a Extreure Petroli

    Es comença a extreure petroli a mitjans del segle XIX, a Estats Units.
  • Invenció del Telèfon

    Invenció del Telèfon

    Va ser inventat per Antonio Meucci. El va inventar per motius personals i no va poder patentar l'invent.
  • Patent del Motor d'Explosió

    Patent del Motor d'Explosió

    Pel belga Étienne Lenoir, és un motor de combustió interna.
  • Teoria del Motor de Quatre Temps

    Teoria del Motor de Quatre Temps

    Per Alphonse Beau de Rochas, va ser duta a terme posteriorment per Nikolaus Otto. La teoria explicava el funcionament dels motors de quatre cicles.
  • Invenció  Dinamo Industrial

    Invenció Dinamo Industrial

    Va ser un punt de partida per la indústria elèctrica. La dinamo està destinada a la transformació de l'energia mecànica en elèctrica. (per Z. T. Gramme)
  • Patent de la Pel·lícula de Cel·luloide

    Patent de la Pel·lícula de Cel·luloide

    Per John Wesley Hyatt, és el material que es va utilitzar durant la època per gravar films o fotografies.
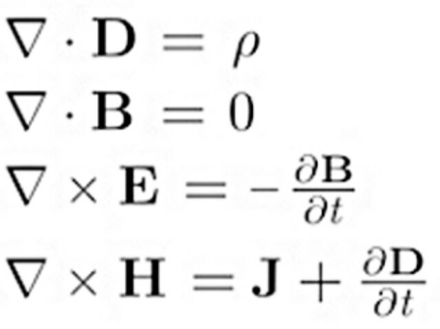
  • Descobriment de l'Equació de la Propagació d'Ones Electromagnètiques

    Descobriment de l'Equació de la Propagació d'Ones Electromagnètiques

    El físic escocès James Clerk Maxwell obté les equacions generals de la propagació de les ones electromagnètiques.
  • Invenció del Motor de Quatre Temps

    Invenció del Motor de Quatre Temps

    Per Nikolaus Otto, funcionava amb gasolina i es basava en el cicle de quatre temps que emplea la majoria de motors en l'actualitat.
  • Invenció del Fonògraf

    Invenció del Fonògraf

    Per Thomas Alva Edison, va ser el primer dispositiu en poder reproduir el so gravat.
  • Patent del Primer Rotllo de Pel·lícula

    Patent del Primer Rotllo de Pel·lícula

    George Eastman va inventar el rotllo de pel·lícula, que va ser utilitzat posteriorment per Edison i els germans Lumière.
  • Invenció del Automòbil

    Invenció del Automòbil

    Per Karl Benz, possible gràcies a nombrosos invents anteriors (com els de Nikolaus Otto o Alphonse Beau de Rochas)
  • Primer Generador d'Ones de Ràdio

    Primer Generador d'Ones de Ràdio

    Per Heirich Rudolf Hertz (d'aquí el nom de la unitat dels cicles per segon), va provar la teoria de Clerk Maxwell.
  • Invenció de la Ràdio

    Invenció de la Ràdio

    La primera ràdio la va fabricar Guglielmo Marconi, va demostrar el seu ús en comunicacions militars i marines i va començar la seva pròpia empresa per al desenvolupament i propagació del seu producte.
  • Invenció del Cinematògraf

    Invenció del Cinematògraf

    Per Auguste i Louis Lumière, va ser la primera màquina capaç de gravar i projectar pel·lícules de cinema.
  • Invenció Alternador i Transformador

    Invenció Alternador i Transformador

    Va permetre el trasllat del corrent produït per les dinamos.
  • Primera Emissió Radiofònica

    Primera Emissió Radiofònica

    La primera emissió va ser privada i es va dur a terme a Califòrnia per CH. D. Herrold.

Looking for a timeline maker?

Create timelines for projects, roadmaps, history, lessons, legal cases, and stories with Timetoast. Timetoast is a timeline maker for work, school, research, and stories.