Derivative

Derivatives Over Time

By bjones4
  • Symbolic Algebra

    Francois Vieta invented symbolic geometry by combining Greek mathematics and Islamic Algebra.
  • Analytic Geometry

    Descartes and Fermat invented analytic geometry. Analytic geometry: curves could be represented by equations, or every equation creates a curve.
  • Maxima, Minima, and Tangents

    Maxima, Minima, and Tangents

    Fermat's method: there is only one solution for the maximum instead of two. Claimed this method could be used to find tangent lines, as well.
  • New Maximum and Minimum

    New Maximum and Minimum

    Johann Hudde took Fermat's method and created his own to find the maximum and minimum.
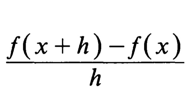
  • Getting Closer to the Derivative

    Getting Closer to the Derivative

    Fermat, Descartes, John Wallis, Isaac Barrow, and many others decided that: a maximum was found by competing the slope of the tangent and asking when it was zero. Idea of derivative came from extrema, tangent, area, limit, continuity, and function by interacting with theses concepts a certain way.
  • Calculus was Invented

    Calculus was Invented

    Sir Isaac Newton invented the idea of Calculus because the math he knew was not sufficient enough to solve the problems he was interested in. (x')
    Goltfried Leibnez had the same ideas around the same time. (dy/dx, integralydx)
    Took the ideas of extrema, tangent, and areas and narrowed them down to two categories: derivatives and integrals.
  • Calculus

    Newton presents "the calculus". Derivatives are found in areas and tangents, therefore they are inverses of each other.
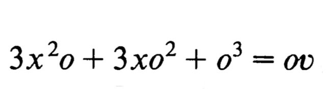
  • Method of Fluxions

    Method of Fluxions

    "indefinitely small quantity o" What is "o"?
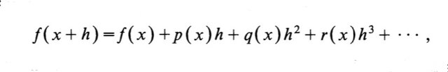
  • Brook Taylor

    Brook Taylor

    Taylor series were invented to solve differential equations using f(x+h) in terms of f(x)
  • Euler

    Euler

    Euler could use differential equation to describe the vibrating of a spring. People were surprised that derivatives could have sines and cosines.
  • Lagrange

    Lagrange

    Didn't believe Newton's ideas were good enough anymore, claims that it is all just algebra, including Euler's methods. Thought he proved that all functions had a power series expansion. Believed that all functions were the sum of a Taylor Series and have infinitely many derivatives. (nth order)
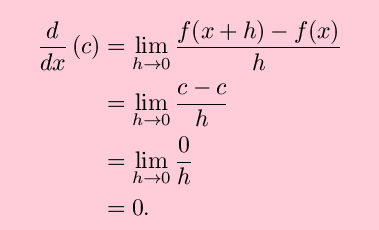
  • Cauchy

    Cauchy

    Took Lagrange's method and put it more into a definition of a derivative. (Improved Lagrange's method)

Want to make a timeline like this?

Use Timetoast to turn dates, events, milestones, and phases into a clear visual timeline you can build and share. Timetoast is a timeline maker for work, school, research, and stories.