calculus journal

By BillyWu
  • Limits

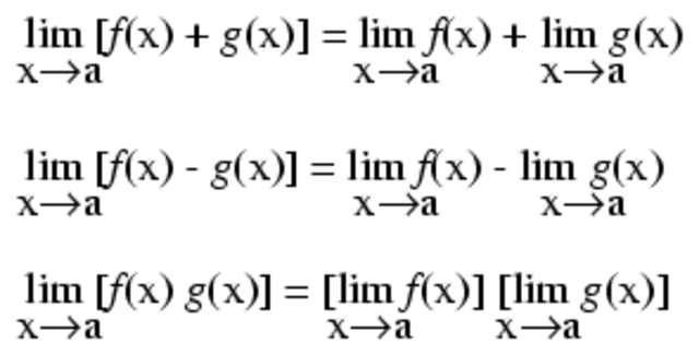
    Limits

    the concept of a "limit" is used to describe the value that a function or sequence "approaches" as the input or index approaches some value. *This definition applies to both functions and sequences.
    In order to evaluate the limits in the indetermined form, we need to use the L'Hôpital's rule which states that The differentiation of the numerator and denominator often simplifies the quotient and/or converts it to a determinate form, allowing the limit to be evaluated more easily.
  • Sequences and Series

    Sequences and Series

    *A sequence is a set of numbers, defined by a specific rule. There are infinite ways to justify a sequence, and that means the sequence can be continued by any number using one of the justifications.
    Series is the sum of a sequence. Finite series can be simply solved by algebra, but in order to solve an infinite series, we need to use limits and calculus.The solution of a series can be categorized into convergence and divergence.
  • Tests for series

    Tests for series

    nth term test
    DCT
    LCT
    Alternating series test
    Integral test
    root/ratio test(geometric series)
    telescoping series
  • Taylor Series and polynomial

    It's a brilliant idea to use infinite polynomials to describe a complex curve. Not only an approximation, but sometimes the tylor series gives the exact same function. By multiplying derivatives at the point to the x to the order of the derivative and dividing by the order of the derivative's factorial, we can predict any terms in the Taylor polynomial. Most importantly, by looking at the nth derivative of x^n, I found them to be extremely similar, and this is not a coincidence.
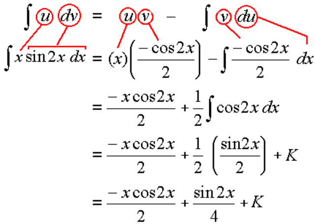
  • intergration by parts

    intergration by parts

    Integration by parts should be the last option and the most effective option but, it takes too long. Almost every complex integral can be evaluate by this, but it's not the first choice because of the lack of effeciency in time; however, using table method and finding a pattern in doing the problem can speed up the process. Also, choosing the correct v and u is essential in the integration by parts.
  • separable differential equation

    separable differential equation

    1. separate variable
    2. Integration
    3. simplification
  • Eular's Method

    Eular's Method

    f(x+dx)=f'(x)*dx+f(x),we use this formula to approximate the solution of a differential equation. By letting dx approach to 0, we can possibly get the exact solution. This also means, a smaller dx will lead to a closer approximation.
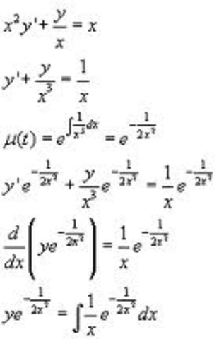
  • First Order Linear Differential equation

    First Order Linear Differential equation

    dy/dx+P(x)y=Q(x)
    1. find the integrating factor
    2. multiply the factor to both sides diff eq
    3. Integrate both sides of the diff eq
  • Bernouli Equation

    Bernouli Equation

    y'+P(x)y=Q(x)y^n
    1. multiply both sides by (1-n)y^-n
    2. make y^(1-n) the new y and solve it using the first diff eq method
  • Trig Sub

    Trig Sub

    1. create an appropriate triangle
    2. substitute the variables with the trig functions and dx with dA(angle)
    3. Integrate
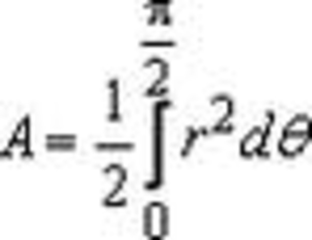
  • Polar

    Polar

    IDENTIFY THE DOMAIN.
    verify with a calculator if necessary.
  • Related rates

    Related rates

    1. Read the questions carefully.
    2. List the variables may be used.
    3. Decrease the number of varible by using given or implied relations.
    4. differentiate
  • parametric equations

    parametric equations

    Parametric Equations define both the x values and y values in terms of t. More variables give us more infomation. Parametric equations can describe the particle motion in a 2d plane; therefore we can find the velocity vector and the acceleration vector and therefore the speed and the acceleration.
  • Billy Wu Test Strategies- multiple choice

    I can finish a 45 questions test by using the half of the time and here is how I am going to change it.
    1. finish the question by covering up the answer choice.
    2. read again the question, maybe something hidden I dont see the first time
    3. if we can deduce all four wrong choices, whatever left is the anwser. (Use evidences to prove them wrong mathematically)
    4. work backwards
    5. verify with calculator but dont totally rely on it
    6. mathematical rather than logical
  • Billy Wu Test Stategies - Free Response

    1. Read carefully, do active reading(underline, circle, etc etc)
    2. work the problem in the corresponding box!!!! (the mistake I made in the AB test is very painful, using a quarter of the time erasing and rewriting)
    3. outline the solution in mind after reading it. it includes classify the problem, model it, how to solve it, numbers of varible and equations.
    4. write it through logically reasoning, no guessing
  • AP Chemistry

    today I took the ap chem tes. Throught the test, I see somthing ilogical might happen in the cal test too. I tend to finish these tests early; however go back after finishing to check is not an efficient way to use the time. Instead, I tend to finish the test slower and make sure every step is correct and do it multiple times with fresh mind to confirm the answer.
  • AP Comp Sci

    many classmates are sort of upset today, becasue some ap questions involve 2d array which we never talked about in class. Although I am glad that I know how to do it, I am concerned about what I would do hadnt I known some concepts in the calc test. Math is a subject slowly built up by the compilation of concepts; through foundamental knowledge to various theorems. It's possible to derive the solution base on what we already know.
    Stay calm and work steadily: you will figure it out eventuall :)
  • game day

    Nothing happened! still have some time left in both free response sections and I dont know what to do with them... :(
    the free response questions are interesting and some of them are trick; however I think I solved them.