Keep calm and do more calculus 2

Calc Journals

By dylkirb
  • AP Practice on Polar Functions

    AP Practice on Polar Functions

    I'm having a little trouble with polar functions having missed some time in class, but I think I'll get the hang of it with some practice. Integration to find the area bound by two polar graphs is especially tricky right now, but I think I'll be ready before the AP test.
  • Period: to

    Calc Journals

  • Integration and AB Stuff

    Integration and AB Stuff

    I feel very confident about AB based questions. I did well on the AB exam and didn't have much difficulty with the questions then. As far as integration goes, I feel as though I've mastered the new integration techniques we were shown this year, so I definitely feel ready for the test in these areas.
  • Differential Equations Review

    Differential Equations Review

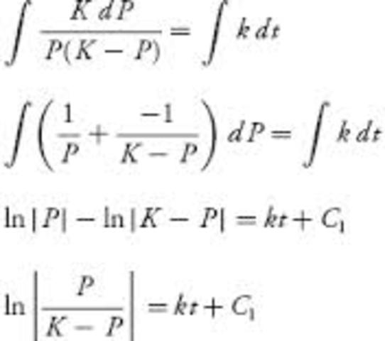
    I think I'm prepared for most differential equation questions on the AP test. Seperating differential equations and finding particular solutions should be easy for me to do. I've had some difficulty with logistics before, but I feel better about these questions having had some review.
  • Infinite Series Review

    Infinite Series Review

    I feel confident about series. I remember the rules we used most commonly to test for convergence; I did have a little trouble though with the root and ratio test because I couldn't remember which values meant the series converged. With some studying, I should be ready to use all of the convergence tests.
  • Taylor Polynomials, Series, and Remainders

    Taylor Polynomials, Series, and Remainders

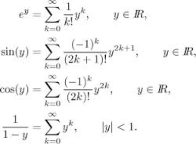
    I feel confident about Taylor polynomials. It was really helpful to review them in class to refresh my memory. I've memorized the formulas for most of the functions (e to the x, sin x, cos x), and I'll have to work to remember the others. I also have the remainder formulas memorized, so I feel ready for the exam.
  • Power Series and Taylor Series

    Power Series and Taylor Series

    Going over the multiple choice questions from the practice AP was very helpful (since I definitely struggled with this part of the test, especially compared to the free response). The review of power series and Taylor series in class today was very helpful, and it helped me greatly on the homework.
  • Advanced Integration Review

    Advanced Integration Review

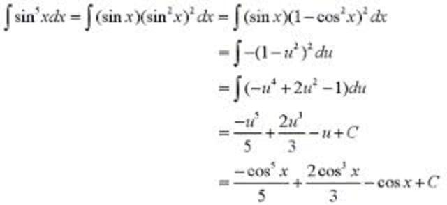
    Today we reviewed advanced integration techniques in class. I feel confident about using techniques such as u sub and integration by parts before class, and the arctan review refreshed my memory as well. I had some trouble with the partial fractions problem we did, but I should be ready to do problems like this on the test.
  • Volume and Area Review

    Volume and Area Review

    I've struggled the most with volume and area problems this year, so I was really happy to have a review day all about this topic. I feel much more confident now that the topic has been elucidated (I understand the difference between shell and disk and the formulas now), but I plan on studying much more to prepare for the AP.
  • Polar Review

    Polar Review

    Having missed several days when we learned about calculus and polar graphs, I was very glad to have this review. I caught up pretty quickly; after the first two practice problems, I was getting the correct answers consistently.
  • Polar Test

    Polar Test

    I had some trouble doing the problems involving conversions between polar and rectangular form. I think I did ok on most of the rest of the test, though I didn't leave myself much time to complete the non-calculator section.
  • Multiple Choice and Free Response

    Multiple Choice and Free Response

    Multiple choice was the hardest section on the AP test for me to do (and was where I missed the most questions...). I was glad to have more practice questions to do, and I feel as though I've definitely improved. I also felt like the practice free response were fairly easy, so I'm feeling confident for the AP test.
  • Review

    Review

    (missed class for the chem exam) I heard Mr. Hyman's Cinco de Mayo joke and thought it was so funny. I feel confident for the exam. I anticipate having some trouble on the multiple choice but I think that I've done well enough on the free response before that I'll be ok. (In other news, I think the chem exam went well!)
  • The Day Before the Calc Exam

    The Day Before the Calc Exam

    (missed class for Spanish exam) Very ready for the test following the walk today. Plannng on getting a good night's sleep in preparation. I've been reviewing the packet to make sure I'm ready for everything that might come up, and I don't feel as though there's anything I'm totally unprepared for.
  • Test Day

    Test Day

    I think the test went well. The multiple choice was much easier than expected (I definitely struggled on the practice tests in this section). The free response, however, was harder than the practice, so I had some trouble and wasn't expecting to see some of things that appeared on the test. I think did fine on that section, however, and I feel like I got a 5.

Plan projects on a visual timeline

Map milestones, phases, deadlines, and key events in one place so the sequence is easier to see and share. Timetoast is a timeline maker for work, school, research, and stories.