Image 24331

AP Calculus Timeline

By jibs
  • The limit definition of the derivative

    The limit definition of the derivative

    This goes pretty far back. Thought i might be a good intro to this journal. The limit deff. of the derivative originates from this graph. By looking at the slope between the points Q and P when delta x approaches 0, we can find f'(x) at a specific point.
  • Period: to

    AP Calculus BC Journal

  • The Shell Method

    The Shell Method

    One can think of this method as a sheet with width 2pir (circumference of a circle) and length f(x) (height of shell) with some depth dx. As such, the volume should be represented by V= integral of 2 pi x f(x) dx.
  • The disck method

    The disck method

    Use this method when the axis of rotation is perpendicular to the representative rectangle. Think of it like the volume of a cylinder V= Pi r^2 h. But in this case h is dx and r can be the difference of two functions.
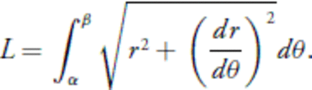
  • Polar Arc length

    Polar Arc length

    This closely resembles the distance formula b/c it actually is a specific form.
  • The mean value theorem of Integration

    The mean value theorem of Integration

    Finds the avrage value of a function by taking the integral from one point (a) to another point (b) and dividing by the difference (b-a). This is equal to f(c) which is the avrage value. The MVT guarantees that a continuous function has at least one point where the function equals the average value of the function. (image from - http://www.mathwords.com/m/mean_value_theorem_integrals.htm)
  • The Chain Rule

    The Chain Rule

    I allways keep forgeting to include u' when differentiating f(u). This seems to be a critical concept tested on the BC exam.
  • Exponential and Logerithimic derivatives

    Exponential and Logerithimic derivatives

    The chain rule can be used to find the dericative of Exponential and logetithmic functions. One common function is the exponential wich is represented as f(x) = e^u and f ' (x) = u' e^u
  • Tangent Lines

    Tangent Lines

    The tangent line is simply the slope of a function at a specific point. It can also be understood as the instentanious speed of a particle as delta t approaches 0 for dx/dt.
  • Related Rates

    Related Rates

    Related rates allows us to solve problems involving finding a rate at which a quantity changes by relating that quantity to other quantities whose rates of change are known such as volume and area.
  • Improper Integrals

    Improper Integrals

    Unlike definite integrals, Improper integrals can either converge or diverge. For instance, one can integrate from some value a to infinity by substituting b for infintiy and finding the limit as b approaches infinity of the integral.
  • integration by parts

    integration by parts

    Use this method when integrating the product of two diffrent types of functions such as polynomial and exponential. For example. f(x) = x^2e^x.
  • Taylor Series

    Taylor Series

    Taylor series are approximations made by transendential functions for functions such as e^x or ln(x). They make it simpler to work with complex equations. One can easily integrate and derive x^2 than sinx.
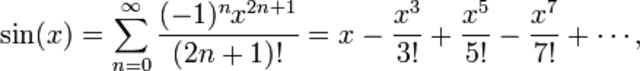
  • Power Series

    Power Series

    Power Series are series representations of functions. Functions like sin(x) can be simplified to a power series to infinity. However, the domain for sin(x) will not be equivelent to the convergance of the power series as such one can not asume they are the SAME function.
  • Alternating Series

    Alternating Series

    Alternating series are sereis in the form of (-1)^n. The litrarly alternate between positive and negative values. They have their own rules for convergance. An alternating series can converge if the absplute value of the sereis is 0 as n approaches infinity and if the subsequent value is always less than the previous value.,
  • Infinite Series

    Infinite Series

    The basic definition is the infinit sum of a sequence. An infinite sereis can diverege or converge. One fundamental diverging series is 1/n. This is known as the p- series and it diverges.
  • Polar Coordinates

    Polar Coordinates

    Polar coordinates are an alternative to rectangular coordinates. One can convert polar to rectangular using these fundamental relationships:
    x = r cos (theta)
    y = r sin (theta)
    X^2 + y^2 = r^2
  • Parametric Equations

    Parametric Equations

    Parametric Equations allow us to graph non-finction equations. This involves relating the x and y variables to a common variable T. THIS IS SO COOOOOOLLLL!!!!
  • Area for polar functions

    Area for polar functions

    The sector area is repesented by A = .5r^2 (theta). The integral is the same thing just using dtheta and integrating from specific values.
  • Test Stratagies

    Use process of elminiation!
    DON'T forget C
    try not to mix up disck and washer method.
  • Not much time to study for Calc

    Not much time to study for Calc

    Review for other exams.
  • Last Day Preperation

    Last Day Preperation

    Watching movies to chill and relax before the big day. I am confident in my abities to do well on the test.
  • BIG DAY!

    BIG DAY!

    I am ready for the test. Ready to 5 it up!

Want to make a timeline like this?

Use Timetoast to turn dates, events, milestones, and phases into a clear visual timeline you can build and share. Timetoast is a timeline maker for work, school, research, and stories.