Untitled517

Amperio

  • Ley de Fuerza de Amperio

    Ley de Fuerza de Amperio

    Esta ley establece que hay una fuerza que atrae o se repele entre dos cables paralelos que transmiten una corriente eléctrica.
  • Primera aparición

    Primera aparición

    El amperio se definió originalmente como una parte de la unidad electromagnética sistema CGS de la corriente. La definición actual del amperio se estableció en 1948.
  • Origen del nombre

    Origen del nombre

    El nombre fue originado por las iniciales de el físico-matemático de origen francés, André-Marie Ampère. Considerado padre de la electrodinámica,
  • También puede ser conocido como

    También puede ser conocido como

    La abreviación de Amperios es amp, y su símbolo es A en el Sistema Internacional de Unidades Básicas.
  • Su uso

    Su uso

    Los amperios son usados para expresar el flujo de carga eléctrica.
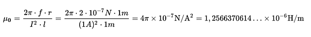
  • Ejemplo de como resolver un problema

    Ejemplo de como resolver un problema

A list shows items. A timeline shows sequence.

Use Timetoast to make dates, milestones, and turning points easier to understand in a clear visual format. Timetoast is a timeline maker for work, school, research, and stories.