Technology timeline

  • Nitrocellulose

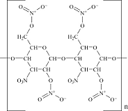
    Nitrocellulose

    Is a highly flammable compound formed by nitrating cellulose through exposure to nitric acid or another powerful nitrating agent.
    Chemical formula: (C6H9(NO2)O5)n (C6H8(NO2)2O5)n (C6H7(NO2)3O5)n
  • Bakelite

    Bakelite

    Was the first plastic made from synthetic components. It is a thermosetting phenol formaldehyde resin, formed from a condensation reaction of phenol with formaldehyde.
  • Rayon

    Rayon

    Rayon is a manufactured fiber made from natural sources such as wood and agricultural products that are regenerated as cellulose fiber. The many types and grades of rayon can imitate the feel and texture of natural fibers such as silk, wool, cotton, and linen.
  • Cellophane

    Cellophane

    Cellophane is a thin, transparent sheet made of regenerated cellulose. Its low permeability to air, oils, greases, bacteria, and water makes it useful for food packaging. Cellophane is highly permeable to water vapour, but may be coated with nitrocellulose lacquer to prevent this.
    Unlike many other similar materials, cellophane is biodegradable. However its manufacture employs toxic chemicals.
  • Ponyvinyl chloride

    Ponyvinyl chloride

    is an economical and versatile thermoplastic polymer widely used in building and construction industry to produce door and window profiles, pipes, wire and cable insulation, medical devices etc.
  • Neoprene

    Neoprene

    Neoprene is produced by free-radical polymerization of chloroprene. In commercial production, this polymer is prepared by free radical emulsion polymerization.
  • Nylon

    Nylon

    Nylon is a thermoplastic silky material that can be melt-processed into fibers, films, or shapes. It is made of repeating units linked by amide links similar to the peptide bonds in proteins.
  • Polyethylene

    Polyethylene

    Polyethylene is the most popular plastic in the world. This is the polymer that makes grocery bags, shampoo bottles, children's toys, and even bullet proof vests.
  • Teflon

    Teflon

    Teflon is a brand name of a chemical coating, polytetrafluoroethylene.It’s known for its use in cookware, although it can also be used to coat other materials like wires or fabrics to make them waterproof.
  • Tupperware

    Tupperware

    a range of plastic containers used for storing food.
  • Celluloid

    Celluloid

    Celluloids are a class of compounds created from nitrocellulose and camphor, with added dyes and other agents. Generally considered the first thermoplastic, it was first created as Parkesine.
  • Kevlar

    Kevlar

    Kevlar is a heat-resistant and strong synthetic fiber. Typically it is spun into ropes or fabric sheets that can be used as such or as an ingredient in composite material components.
  • Polyester amides

    are very important synthetic polymers with applications in many fields. The combination of the thermal and mechanical properties of polyamides with the biocompatibility and biodegradability of polyesters affords biomaterials.

Want to make a timeline like this?

Use Timetoast to turn dates, events, milestones, and phases into a clear visual timeline you can build and share. Timetoast is a timeline maker for work, school, research, and stories.