Technology History Project

  • The Complex Number Calculator

    The Complex Number Calculator

    The Complex Number Calculator This was the first electrical digital computer. This machine helped my making it easier to type and help many companies.
  • Plankalkul

    Plankalkul

    Plankalkul Plankalkul was the first compete high-level language.The creator of the language , Konrad Zuse , also evented the first relay computer.
  • ERA 1101 or UNIVAC 1101

    ERA 1101 or UNIVAC 1101

    UNIVAC 1101 Back then ERA was used as a code-breaking for WWII.It was also the first stored program in the US.
  • FORTRAN ~

    FORTRAN ~

    FORTRAN ~A FORTRAN is a program language for numeric coputation aand science. It also helped by using appications like the climate.
  • Lisp ~

    Lisp ~

    Lisp ~LISP Lisp was the second-oldest high-level programming language.Lisp was made for mathematical reasons for equations and computation.
  • DEC´s PDP-1

    DEC´s PDP-1

    PDF ~ 1 DEC was the first interactive computer. Included was the PDP help the operator talk on the keyboard.
  • Logo ~

    Logo ~

    LOGO ~Seymour LOGO is a high-level computer program and helps make designs. Used to make a design easy for younger kids to understnd.
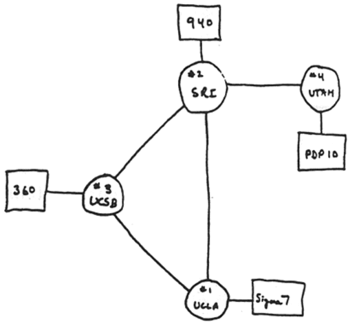
  • ARPANET ~ First Internet

    ARPANET ~ First Internet

    ARPANET information ~The ARPANET was the first network ever created by the U.S. Department of Defence. The TCP/IP protocol was created which is still used in today's computer networks.
  • Xerox Computering ~

    Xerox Computering ~

    Xerox ~Xerox did the most notably the personal computer graphical user interface, Ethernet, the laser printer, and object-oriented programming.
  • Telenet ~

    Telenet ~

    Telenet linked customers in seven cities. Telenet represented the first value-added network, or VAN — so named because of the extras it offered beyond the basic service of linking computers.
  • VisiCalc ~

    VisiCalc ~

    VisICalc ~Harvard MBA candidate Daniel Bricklin and programmer Robert Frankston developed VisiCalc, the program that made a business machine of the personal computer, for the Apple II.
  • NeXT

    NeXT

    NeXt ~ The significance of the NeXT rested in its place as the first personal computer to incorporate a drive for an optical storage disk, a built-in digital signal processor that allowed voice recognition, and object-oriented languages to simplify programming.
  • Mosiac ~

    Mosiac ~

    The Mosaic web browser is released. Mosaic was the first commercial software that allowed graphical access to content on the internet.
  • WIndows XP ~

    WIndows XP ~

    Windows ~ Windows XP is an operating system introduced in 2001 from Microsoft's Windows family of operating systems, the previous version of Windows being Windows Me. The "XP" in Windows XP stands for eXPerience. Microsoft called the XP release its most important product since Windows 95.
  • PSP ~

    PSP ~

    PSP ~ The PlayStation Portable was the more powerful system when launched just after the Nintendo DS in 2004. It was the first real competitor to Nintendo's handheld domination, where many challengers, such as SNK's Neo Geo Pocket and Nokia's N-Gage.
  • iPhone 3G

    iPhone 3G

    iPhone 3G The iPhone 3GS features iOS, Apple's mobile operating system.[13] The user interface of iOS is based on the concept of direct manipulation, using multi-touch gestures. Interface control elements consist of sliders, switches, and buttons.

A list shows items. A timeline shows sequence.

Use Timetoast to make dates, milestones, and turning points easier to understand in a clear visual format. Timetoast is a timeline maker for work, school, research, and stories.