STORIA DELL'INFORMATICA

  • L'ABACO
    1200 BCE

    L'ABACO

    L’abaco è lo strumento più antico di calcolo di cui si conosca traccia, i primi esemplari, sotto forma di “tavolette di calcolo” sono apparsi in Mesopotamia e in Cina intorno al 1200 a.C. Solo intorno al 1300 d.c. l’abaco, così come oggi lo conosciamo, sostituisce le tavole da calcolo dei cinesi.
  • LEONARDO DA VINCI ("Codice di Madrid")
    1500

    LEONARDO DA VINCI ("Codice di Madrid")

    Studi recenti hanno portato alla luce alcuni disegni di Leonardo Da Vinci, conosciuti come il “Codice di Madrid“, raffiguranti uno strano macchinario concepito per effettuare calcoli con il sistema decimale. Non esistono però tracce storiche del funzionamento di questo meccanismo ideato intorno al 1500.
  • PRIMA CALCOLATRICE MECCANICA (la Pascalina)

    PRIMA CALCOLATRICE MECCANICA (la Pascalina)

    Fù invece Blaise Pascal filosofo, matematico e fisico francese, nel 1643 a realizzare una macchina che eseguiva automaticamente addizioni e sottrazioni, la Pascalina.
  • LA MACCHINA DI LEIBNIZ

    LA MACCHINA DI LEIBNIZ

    Gottfried Wihelm von Leibniz conpì uno deipassi più importanti nella storia delle macchine calcolatrici: descrisse compiutamente le regole dell'aritmetica binaria esso infatti realizza una macchina in grado di compiere le quattro operazioni e l'estrazione di radice. I gesuiti gli chiesero di dare un'interpretazione al loro "libro delle mutazioni". La macchina era chiamata Stepped Reckoner ma presto fu dimenticata.
  • IL TELAIO DI JAQUARD

    IL TELAIO DI JAQUARD

    Joseph Marie Jacquard applicò ai telai di tessitura un sistema a schede perforate che contenevano la sequenza esatta delle operazioni da svolgere ed è considerato l'antenato del calcolatore
  • ADA LOVELACE

    ADA LOVELACE

    Ada Lovelace si interessò molto ad aiutare Babbagge nei suoi progetti e fondò il linguaggio assembly e viene considerata fondatrice della scienza della programmazione soprattutto nei suoi aspetti teorici.
  • BABBAGE

    BABBAGE

    Charles Babbage, matematico inglese, costruì nel 1834 il primo calcolatore digitale automatico di uso generale (addizioni, sottrazioni, divisioni, moltiplicazioni). Il calcolatore prese il nome di “macchina analitica'”, è costituì un modello per tutti i successivi calcolatori digitali. Tale macchina poteva essere utilizzata tramite delle schede perforate”, concetto ripreso dai famosi telai automatici di Jacquard.
  • LA NASCITA DI IBM

    LA NASCITA DI IBM

    Thomas J. Watson, imprenditore americano, fondò nel 1924 l’International Business Machine, meglio nota ai nostri giorni come IBM. La nuova azienda diventò in poco tempo il più potente impero industriale nel settore informatico. Nel 1955, IBM presenta il suo primo calcolatore realizzato per la Monsanto: grazie ai suoi modelli organizzativi. La leadership è però destinata a essere rimessa rapidamente in discussione che iniziano a vendere un nuovo tipo di calcolatore: il personal computer.
  • I PRIMI COMPUTER ELETTRONICI ("Colossus")

    I PRIMI COMPUTER ELETTRONICI ("Colossus")

    I primi computer elettronici nascono sul finire della seconda guerra mondiale ed erano molto diversi da come li concepiamo oggi erano simili a grandi calcolatori, che venivano utilizzati per scopi specifici ed erano dotati di un programma. Il più famoso di questi, il “Colossus” (o “Mark I”), fù costruito nel 1943 dal governo britannico per decriptare in maniera più rapida le comunicazioni radio dei Tedeschi criptate con la macchina ENIGMA.
  • L'ENIAC

    L'ENIAC

    Nel 1945, dopo la fine della grande guerra gli Americani iniziarono la realizzazione di un calcolatore che fosse “programmabile”, nacque l’ENIAC (Electronic Numerical Integrator and Computer). Il suo scopo era quello di effettuare calcoli balistici per l’esercito americano. La programmazione veniva realizzata esclusivamente in linguaggio macchina, ossia secondo codici binari direttamente eseguiti dal processore, ed era realizzata per mezzo di una serie di spinotti inseriti su particolari schede.
  • LA MACCHINA DI VON NEUMANN

    LA MACCHINA DI VON NEUMANN

    Lo studio continuò nelle università degli Stati Uniti dove si definirono le basi dei moderni calcolatori che diventarono entità capaci di eseguire sequenze di comandi (algoritmi). John von Neumann definì per la prima volta il concetto di elaboratore elettronico a programma memorizzato, la cosiddetta “macchina di von Neumann”. Neumann fù il primo a inquadrare in una teoria matematica coerente le “macchine intelligenti” e gli automi. infatti è anche considerato come il padre dell’informatica.
  • L'EDVAC

    L'EDVAC

    Un’anno dopo, John Von Neumann e altri realizzarono il primo vero computer l’EDVAC (Electronic Discrete Variable Computer) dotato di un primo rudimentale “Sistema Operativo”. Derivato dall’ENIAC, esso ne perfezionò il concetto di programmabilità, in quanto i programmi, anzichè essere inseriti dall’esterno, sono incorporati nella memoria della macchina e richiamabili a piacimento, grazie appunto al SO.
  • MEMORIE RAM

    MEMORIE RAM

    Nel 1951 Jay Forrester registra un brevetto per la memoria a nuclei magnetici che sostituirà la più ingombrante memoria a tamburo magnetico.
  • L'UNIVAC

    L'UNIVAC

    L'UNIVAC (UNIVersal Automatic Computer) è stato il primo computer commerciale creato negli Stati Uniti nel 1952. Fu progettato da J. Presper Eckert e John Mauchly (già progettisti dell'ENIAC) i quali ne iniziarono lo sviluppo all'interno della loro società, la Eckert-Mauchly Computer Corporation.
  • TEXAS INSTRUMENTS

    TEXAS INSTRUMENTS

    Nel 1954 la Texas Instruments introduce il transistor al silicio, puntando sulla drastica riduzione dei prezzi di produzione.
  • GLI ELABORATORI COMMERCIALI

    GLI ELABORATORI COMMERCIALI

    Nel 1957 l’IBM inventa sistemi che dispongono di un unità a dischi (hard-disk) i RAMAC. John Backus e altri fondano il primo compilatore per il linguaggio di programmazione FORTRAN (Formula Translator). Si forma il COBOL (Common Business Oriented Language) e nello stesso anno nasce il LISP. La DEC nel 1960, introduce il PDP-1, il primo computer commerciale con un monitor e tastiera per l’input. Nel 1964 nasce il linguaggio BASIC e nel 1964 Doug Engelbart inventa il mouse.
  • I TRANSISTOR

    I TRANSISTOR

    Il transistor detto anche transistore, è un dispositivo a semiconduttore che diventò più favorevole rispetto alle valvole termoioniche perché: di dimensioni minori, dissipazione di energia minore e vita media maggiore.. Il transistor è composto da un materiale semiconduttore al quale sono applicati tre terminali che lo collegano al circuito esterno.
  • L'UNIX

    L'UNIX

    Intorno al 1969 presso i Bell Labs (AT&T) Ken Thompson inventò il sistema operativo Unix. Questo nuovo sistema operativo a differenza dei predecessori era multiutente e multiprocesso, ovvero potevano essere eseguiti più programmi contemporaneamente e poteva essere utilizzato da più utenti nello stesso momento; era dotato di strumenti di “networking”, ovvero: due sistemi unix potevano dialogare tra di loro attraverso una rete gettando le basi per la nascita di ARPANET.
  • L'ARPANET

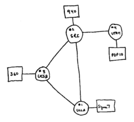
    L'ARPANET

    Lo scopo di questa rete (ARPANET) era mantenere in contatto i centri strategici militari americani in caso di attacco con armi nucleari. ARPAnet non venne mai pienamente utilizzata per scopi militari, le università e gli uffici crearono dei nodi di collegamento per farne parte. I primi 4 nodi operativi di ARPANET furono: l’UCLA, UC Santa Barbara, SRI e l’Università dello Utah. Nel 1970 fanno il loro debutto i primi floppy disk IBM da 8 pollici nonchè la stampante con testina a margherita.
  • LA POSTA ELETTRONICA

    LA POSTA ELETTRONICA

    Nel 1971 Ray Tomlinson realizza la più importante applicazione della rete: la posta elettronica. Con Newman spediscono il loro primo messaggio E-mail attraverso la rete.
  • LA DIFFUSIONE DELLE CALCOLATRICI TASCABILI

    LA DIFFUSIONE DELLE CALCOLATRICI TASCABILI

    Nel 1972 le prime calcolatrici tascabili diventano popolari rendendo obsoleti i vecchi regoli calcolatori.
  • IL LINGUAGGIO "C"

    IL LINGUAGGIO "C"

    Sul finire del ’72 Dennis Ritchie sviluppa il linguaggio “C” ai laboratori Bell. Così chiamato semplicemente perchè il suo predecessore era stato battezzato “B”. Il linguaccio “C” permette laportabilità di un programma tra diversi sistemi operativi. Il Sistema Operativo UNIX viene quindi riscritto in linguaggio “C” per poter essere utilizzato su macchine e architetture diverse dal PDP-11.
  • PC SPERIMENTALE "ALTO"

    PC SPERIMENTALE "ALTO"

    Nel 1973 la Xerox PARC sviluppa un PC sperimentale denominato Alto, che usa il mouse, una scheda di rete Ethernet ed una interfaccia utente grafica (GUI) chiamata SmallTalk. Curiosità: il monitor era orientato in maniera verticale in modo da poter editare il testo senza dover ricorrere al cosidetto scrolling. Un’anno dopo la stessa Xerox PARC scrive il primo applicativo di tipo WYSIWYG (what you see is what you get) e lo chiama BRAVO.
  • STAMPANTI LASER E STAMPANTI A GETTO D'INCHIOSTRO SUL MERCATO

    STAMPANTI LASER E STAMPANTI A GETTO D'INCHIOSTRO SUL MERCATO

    Nel 1975 l’IBM introduce sul mercato le prime stampanti laser. Un’anno dopo sarà la volta delle stampanti a getto d’inchiostro (ink-jet).
  • L'APPLE

    L'APPLE

    Nel 1977 esce sul mercato l’APPLE II il primo home computer con programmi di videoscrittura, fogli di calcolo, giochi e tanto altro. Nello stesso anno Bill Gates e Paul Allen fondano la Microsoft. L’ATARI vende la prima console casalinga: il VCS 2600.
  • INTEL 8086

    INTEL 8086

    Nel 1978 esce il processore a 16 bit Intel 8086.
  • VISICALC E IL CHIP 68000

    VISICALC E IL CHIP 68000

    Nel 1979 Don Bricklin e Bob Franston realizzano VISICALC il primo foglio di calcolo elettronico (spreadsheet) della storia. La “fame di risorse” di questo programma contribuì a rendere obsoleti tutti i precedenti computer. Sempre nel ’79 la Motorola presenta il chip 68000, che più tardi supporterà i computer Macintosh ed i Commodore Amiga. Nello stesso anno Sony e Philips annunciano i primi videodischi digitali mentre sono allo studio i primi telefoni cellulari.
  • PC IMB

    PC IMB

    Nel 1981 l’architettura aperta del PC IBM viene lanciata in agosto, decretando l’affermazione del computer desktop a scapito dei terminali aziendali collegati al MainFrame. Un’anno dopo la Compaq produce il primo clone. La Commodore presenta il celebre VIC 20: processore 6502A, 5 KB di Ram. Se ne venderanno fino a 9000 esemplari al giorno.
  • IL COMMORE 64

    IL COMMORE 64

    Nel 1982 Commodore presenta il Commodore 64. Il calcolatore più venduto della storia: fra 17 e 22 milioni di unità.
  • IBM XT

    IBM XT

    Nel 1983 esce il computer IBM XT contemporaneamente viene lanciato sul mercato il foglio elettronico Lotus 1-2-3 che permette la realizzazione di grafici a torta
    Nel 1983 vengono pubblicate le specifiche del protocollo di rete TCP/IP che segna l’inizio dell’era di Internet
  • MACINTOSH e CD-ROM

    MACINTOSH e CD-ROM

    Nel 1984 l’Apple annuncia il personal computer Macintosh. Sony e Philips introducono i primi CD-ROM, che forniscono una enorme capacità di registrazione dei dati (fino a 640mb). Inizia la produzione del processore Intel 80286 a 16 bit, che viene inserito nel PCIBM “AT”.
    Silicon Graphics commercializza la sua prima workstation grafica Unix interamente dedicata alla grafica tridimensionale.
    Nasce il DNS (Domain Name Server) su Internet. Esso traduce gli indirizzi numerici delle macchine in nomi.
  • WINDOWS 1.0

    WINDOWS 1.0

    Nel 1985 La Microsoft sviluppa Windows 1.0, introducendo aspetti tipici del Macintosh (menù, finestre, icone) nei computer DOS compatibili. In ottobre l’Intel annuncia il chip a 32 bit 80386 con la gestione della memoria sul chip.
  • WWW

    WWW

    Nel 1989 Tim Berners-Lee propone il progetto World Wide Web (WWW) al CERN. Nello stesso anno esce il processore Intel 80486, con 1,2 milioni di transistor. Quake e Doom sono i primi videogiochi tridimensionali per personal computer.
  • L'ERA DI INTERNET (WINDOWS 3.0 e IBM)

    L'ERA DI INTERNET (WINDOWS 3.0 e IBM)

    Nel 1990 nasce da uno split con IBM il sistema operativo Microsoft Windows 3.0. L’IBM si rifarà rilasciando un suo sitema operativo: l’OS/2
    Nello stesso anno nasce l’internet dei nostri giorni: Berners Lee scrive il prototipo iniziale per il WWW, che usa le altre sue creazioni: URL, HTML e HTTP.
  • LINUX

    LINUX

    Nel 1991 Linus Torvalds scrive la prima versione del sistema operativo Linux che viene diffusa tramite internet sul sito FTP dell’università di Helsinky.
    Nel 1993 l’Intel annuncia il processore Pentium.
  • NETSCAPE COMMUNICATIONS

    NETSCAPE COMMUNICATIONS

    Nell’aprile del 1994 nasce il software che cambierà la storia: Jim Clark e Marc Andreesen fondano la Netscape Communications (in origine Mosaic Communications). Alla fine dell’anno esce il browser Netscape Navigator ed è subito il boom dei navigatori del web.
  • EXPLORER

    EXPLORER

    Nel 1995 la Microsoft, con una straordinaria operazione di mercato, lancia Windows 95 che include il browser Internet Explorer. Per questo motivo la Microsoft subirà un processo per concorrenza sleale. La mossa di Microsoft permette di conquistare la leadership della navigazione in Internet costringendo la Netscape a chiudere.
  • NEW ECONOMY

    Nel 1998 Internet è in quasi tutti gli uffici e in molte case, nasce il fenomeno della “New Economy”
  • 3Com Palm IIIe

    3Com Palm IIIe

    Nel 1999 Palm Computing presenta il 3Com Palm IIIe computer palmare.
  • L'ERA DI INTERNET ai giorni nostri

    Dal 2000 al 2010 internet è ovunque attraverso connessioni via cavo, satellite o wi-fi. I telefoni cellulari si sono trasformati in dei mini PC tascabili connessi permanentemente alla rete e capaci di eseguire video in tempo reale. Anche la telefonia migra sulle rete, grazie al VoIP (Voice over IP) è possibile telefonare sfruttando la rete. E’ anche il periodo in cui Apple ritorna alla ribalta creando prodotti come l’iPhone e l’iPad basati su un interfaccia touch di estrema qualità e usabilità.

Plan projects on a visual timeline

Map milestones, phases, deadlines, and key events in one place so the sequence is easier to see and share. Timetoast is a timeline maker for work, school, research, and stories.