Download (1)ssssss

Simon's AP Timeline

By stlast1
  • Period: to

    Week 0

  • Begin Review

  • Start Review Sheet, Looked over inverse trig differentiation and integration

    Start Review Sheet, Looked over inverse trig differentiation and integration

  • Period: to

    Week 1

  • Look over AP Problems about parametric equations

    Look over AP Problems about parametric equations

  • Do Practice AP #1

    Do Practice AP #1

    Challenging problem about chain rule, differentiation
    look over these concepts
  • Do Practice AP #2, Look over revolution integrals

    Do Practice AP #2, Look over revolution integrals

  • Finish other AP Problems, look over polar area and arclength functions

    Finish other AP Problems, look over polar area and arclength functions

  • Finish AP Problems part A - look over ways to compute integrals on the calculator

    Finish AP Problems part A - look over ways to compute integrals on the calculator

  • Period: to

    Week 3

  • Complete practice part B - look over related rates problems

    Complete practice part B - look over related rates problems

  • Finish multiple choice - review mean value theorem

    Finish multiple choice - review mean value theorem

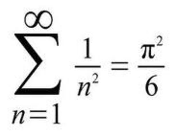
  • Finish assorted worksheets - look over infinite series tests, especially ratio test

    Finish assorted worksheets - look over infinite series tests, especially ratio test

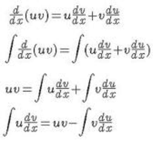
  • Finish last worksheet - look over advanced integration techniques such as integration by parts, LIPIT

    Finish last worksheet - look over advanced integration techniques such as integration by parts, LIPIT

  • Review derivatives and integrals using polar coordinates

    Review derivatives and integrals using polar coordinates

  • Period: to

    Week 3

  • Review series tests, especially ratio test

    Review series tests, especially ratio test

  • Take the test!

    Take the test!

Plan projects on a visual timeline

Map milestones, phases, deadlines, and key events in one place so the sequence is easier to see and share. Timetoast is a timeline maker for work, school, research, and stories.