150px sewall wright

Sewell Wright

  • Sewell was bor in Melrose, Massachusetts

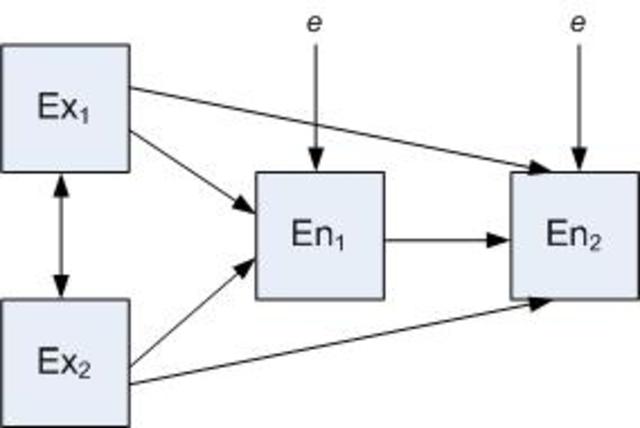
  • Sewell invented path analysis- is used to describe the directed dependencies among a set of variables.

    Sewell invented path analysis- is used to describe the directed dependencies among a set of variables.

    (mounth and day are not listed)
  • Sewell past away

Looking for a timeline maker?

Create timelines for projects, roadmaps, history, lessons, legal cases, and stories with Timetoast. Timetoast is a timeline maker for work, school, research, and stories.