- 
  
  For the AB reiew, I did more practice on optimization, disk and shell methods.
- 
  
  
- 
  
  Practiced some problems on advanced integration, such as the intergration by parts and then reviewed L'Hopital's Rule. Mostly worked on the applications for advanced integrals.
- 
  
  Practiced problems for the polar test tomorrow. Did the powerpoint worksheet and then practiced an AP Free Response problem online. Reviewed notes about the polar conversion to rectangular form, the surface area, arc length, and area formulas.
- 
  
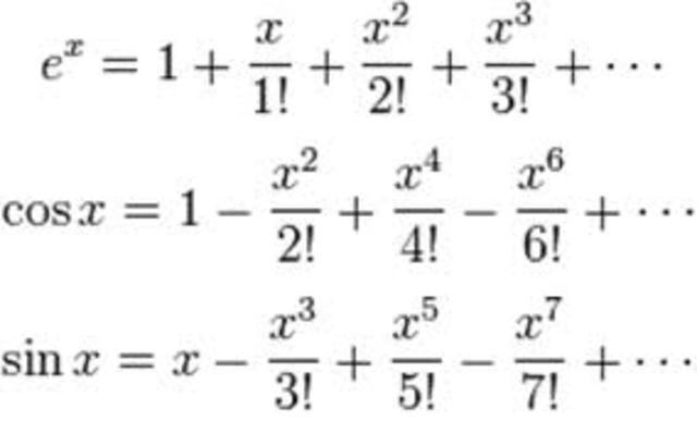
  Reviewed the formulas for the common taylor series such as e^x, cosx, sinx, arctanx, and lnx. Also, did practice problems for free response related to taylor polynomials.
- 
  
  Did the packet on the practice problems for the AP test. The packet was practice multiple choice questions and three free respose.
- 
  
  Did some practuce free reponse problems from the college board website. Mostly did the ones about area under a curve, and finding the volume when there is a revolution about an axis.
- 
  
  Used an AP Calculus BC review book to take a practice multiple choice test.
- 
  
  Reviewed all my notes from this year, and my AB notes from last year. Looked over the formulas I would need to know using the KYSC sheet.
- 
  
  Reviewed the KYSC sheet, formulas for surface area, arc length, area, volume, and derivative and integral rules. Reviewed all AB and BC notes.
- 
  
  I felt the exam was ok. There was definietly enough time for me to go through every question and go back and check also. Although there were a few questions on the multiple choice part that confused me, I felt it was good overall. As for the free response, there were two that confused me, but the other four were comfortable for me to solve.
