PreCalculus Assessment Dates

  • Notes

    PreCalculus Notes
    Click on the link to go to my webpage where you can see video and pdf notes for class.
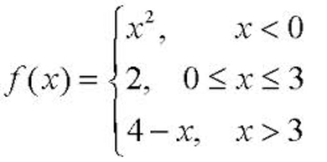
  • Linear Relations and Functions Test

    Linear Relations and Functions Test

    This test covers the concepts of: Vertical Line Test, Domain and Range, Composite Functions, Average Rate, Zero of a Function, Linear Modeling, Point slope, Slope Intercept, Linear Inequalities, Best Fit Line and Piecewise Function.
  • Systems of Linear Equations and Inequalities

    Systems of Linear Equations and Inequalities

    This test covers the concepts of: Substitution Method, Elimination Method, Augmented Matrices
  • The Nature of Graphs

    The Nature of Graphs

    This test covers the concepts of: Translations, Transformation, Stretching, Shrinking, Reflections, Inverse Functions, One-to-one Functions
  • Polynomial and Rational Functions

    Polynomial and Rational Functions

    This test covers the concepts of: End Behavior, Domain, Range, Asymptotes, Holes, Discontinuity, Increasing and Decreasing Functions, Maximums, Minimums, Inflection Points, Concavity
  • Trigonometric Functions

    Trigonometric Functions

    This test covers the concepts of: Sine, Cosine, Tangent, Secent, Cosecant and Cotangent Functions and their graphs, Inverse Sine, cosine and tangent functions, Amplitude, Period, Frequency, Phase Shift, Vertical Shift
  • Trigonometric Identities

    Trigonometric Identities

    This test covers the concepts of: Pythagorean, Cofunction, Reciprocal, Sum and Difference, Half Angle, Quotient and Opposite AngleTrig Identities
  • Conics

    Conics

    This test covers the concepts of: Circle, Ellipse, Hyperbola and Parabola.
  • Exponential and Logarithmic Functions

    Exponential and Logarithmic Functions

    This test covers the concepts of: Exponents, Exponential Function, Common Log, Natural Log, Laws of Logs, Laws of Exponents
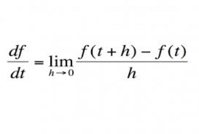
  • Intro to Calculus

    Intro to Calculus

    This test covers the concepts of: Limit Theory and Basic Derivatives.

Plan projects on a visual timeline

Map milestones, phases, deadlines, and key events in one place so the sequence is easier to see and share. Timetoast is a timeline maker for work, school, research, and stories.