history of information

  • L'abaco il primo calcolatore
    1200 BCE

    L'abaco il primo calcolatore

    Il più antico strumento conosciuto usato per la computazione fu l'abaco che, presso gli antichi popoli (babilonesi, cinesi, greci, romani), era una tavoletta con scanalature numerate contenenti pietruzze mobili, opportunamente disposte per poter eseguire i calcoli.
  • Il "codice di madrid" di Leonardo Da Vinci
    1500

    Il "codice di madrid" di Leonardo Da Vinci

    Studi recenti hanno portato alla luce alcuni disegni di Leonardo Da Vinci, conosciuti come il “Codice di Madrid“, raffiguranti uno strano macchinario concepito per effettuare calcoli con il sistema decimale. Non esistono però tracce storiche del funzionamento di questo meccanismo ideato intorno al 1500.
  • La prima calcolatrice meccanica

    La prima calcolatrice meccanica

    Fù invece Blaise Pascal filosofo, matematico e fisico francese, nel 1643 a realizzare una macchina che eseguiva automaticamente addizioni e sottrazioni, la Pascalina.
  • Babbage

    Babbage

    Charles Babbage, matematico inglese, costruì nel 1834 il primo calcolatore digitale automatico di uso generale (addizioni, sottrazioni, divisioni, moltiplicazioni). Il calcolatore prese il nome di “macchina analitica'”, è costituì un modello per tutti i successivi calcolatori digitali. Tale macchina poteva essere utilizzata tramite delle schede perforate”, concetto ripreso dai famosi telai automatici di Jacquard.
  • L'IBM

    L'IBM

    Thomas J. Watson, imprenditore americano, fondò nel 1924 l’International Business Machine, meglio nota ai nostri giorni come IBM. La nuova azienda diventò in poco tempo il più potente impero industriale nel settore informatico. Thomas è, inoltre, l’uomo che coniò lo slogan “THINK” che ancor’oggi invade i prodotti e gli slogan pubblicitari di IBM.
  • La nascità dei primi computer

    La nascità dei primi computer

    I primi computer elettronici nascono sul finire della seconda guerra mondiale. A quell’epoca erano molto diversi da come li concepiamo oggi: erano enormi calcolatori, grandi quanto un intero edificio, che venivano utilizzati per scopi specifici. Non avevano un sistema operativo, ma erano comandati da uno schema elettrico. Il più famoso di questi, il “Colossus” (o “Mark I”), fù costruito nel 1943 dal governo britannico per decriptare in maniera le comunicazioni Tedeschi .
  • L'ENIAC

    L'ENIAC

    Nel 1945, dopo la fine della grande guerra gli Americani intuirono l’utilità che i calcolatori avrebbero potuto assumere anche per scopi non bellici. Iniziarono così la realizzazione di un calcolatore che fosse “programmabile”, nacque l’ENIAC (Electronic Numerical Integrator and Computer). Il suo scopo era quello di effettuare calcoli balistici per l’esercito americano.
  • La macchina di Von Neumman

    La macchina di Von Neumman

    John Von Neumman fu il primo ricercatore a definire il concetto di elaboratore elettronico a programma memorizzato, con la macchina che prese in seguito il suo nome.
    Neumann fu il primo a inquadrare in una teoria matematica coerente le “macchine intelligenti” e gli automi. Per questo è anche considerato come il padre dell’informatica.
  • La nascita delle memorie RAM

    Nel 1951 Jay Forrester registra un brevetto per la memoria a nuclei magnetici che sostituirà la più ingombrante memoria a tamburo magnetico.
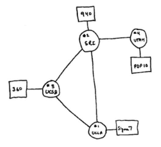
  • La nascita di internet

    La nascita di internet

    Intorno al 1969 presso i Bell Labs (AT&T) Ken Thompson inventò il sistema operativo Unix. Questo nuovo sistema operativo a differenza dei predecessori era multiutente e multiprocesso.
    era dotato di strumenti di “networking”, ovvero: due sistemi unix potevano dialogare tra di loro attraverso una rete gettando le basi per la nascita di ARPAnet.
  • L'era degli home computer

    L'era degli home computer

    Nel 1977 esce sul mercato l’APPLE II il primo home computer con programmi di videoscrittura, fogli di calcolo, giochi e tanto altro. Nello stesso anno Bill Gates e Paul Allen fondano la Microsoft. L’ATARI vende la prima console casalinga: il VCS 2600.
    Successivamente nel 1982 Commodore presenta il Commodore 64. Il calcolatore più venduto della storia: fra 17 e 22 milioni di unità.
  • L'era di internet

    L'era di internet

    Nel 1991 Linus Torvalds scrive la prima versione del sistema operativo Linux che viene diffusa tramite internet sul sito FTP dell’università di Helsinky.
    Nel 1993 l’Intel annuncia il processore Pentium.
    NetscapeNell’aprile del 1994 nasce il software che cambierà la storia: Jim Clark e Marc Andreesen fondano la Netscape Communications (in origine Mosaic Communications). Alla fine dell’anno esce il browser Netscape Navigator ed è subito il boom dei navigatori del web.

Want to make a timeline like this?

Use Timetoast to turn dates, events, milestones, and phases into a clear visual timeline you can build and share. Timetoast is a timeline maker for work, school, research, and stories.