George boole color

George Boole

By Dameli
  • Birthday

    Birthday

    Boole was born in 1815 in Lincoln, Lincolnshire, England
  • Became a teacher

    Became a teacher

    At the age of 16, Buhl became the breadwinner for his parents and three younger siblings, taking up a teaching position in Doncaster at Haygham's School. For some time he taught in Liverpool.
  • Founded his own school

    Founded his own school

    At age 19, Boole successfully established his own school in Lincoln: Free School Lane.
  • Started studying math

    From 1838 onwards, Boole was making contacts with sympathetic British academic mathematicians and reading more widely. He studied algebra in the form of symbolic methods, as far as these were understood at the time, and began to publish research papers
  • Boole's first work

    Boole's first published paper was "Researches in the theory of analytical transformations, with a special application to the reduction of the general equation of the second order", printed in the Cambridge Mathematical Journal in February 1840
  • Published an article

    In 1841, Boole published an influential paper in early invariant theory
  • He received a medal

    He received the Royal Society medal for his 1844 memoir "On the General Method of Analysis". This was a contribution to the theory of linear differential equations, a transition from the case of constant coefficients, on which he had already published, to variable coefficients.
  • Founded a building society

    With Edmund Larken and others he set up a building society in 1847.
  • The Mathematical Analysis of Logic

    In 1847, Boole published The Mathematical Analysis of Logic, the first of his works on symbolic logic.
  • Symbolic logic

    In 1847, Boole published the pamphlet Mathematical Analysis of Logic. He later regarded it as a flawed exposition of his logical system and wanted An Investigation of the Laws of Thought on Which are Founded the Mathematical Theories of Logic and Probabilities to be seen as the mature statement of his views.
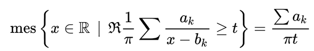
  • Analysis

    Analysis

    In 1857, Boole published the treatise "On the Comparison of Transcendent, with Certain Applications to the Theory of Definite Integrals",in which he studied the sum of residues of a rational function. Among other results, he proved what is now called Boole's identity:
  • Differential equations

    Differential equations

    Boole completed two systematic treatises on mathematical subjects during his lifetime. The Treatise on Differential Equations appeared in 1859, and was followed, the next year, by a Treatise on the Calculus of Finite Differences, a sequel to the former work.
  • Death

    Boole's condition worsened and on 8 December 1864,[46] he died of fever-induced pleural effusion.

Looking for a timeline maker?

Create timelines for projects, roadmaps, history, lessons, legal cases, and stories with Timetoast. Timetoast is a timeline maker for work, school, research, and stories.