fisica

  • Discovery of Electricity

    Benjamin Franklin
    Power= Electric potential x Current
  • Concepts of real and conventional current

    Benjamin Franklin
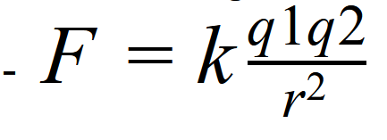
  • Coulomb Law

    Coulomb Law

    Charles-Augustin de Coulomb.
  • Magnetic force in a wire with current

    Michael Faraday
    F=IL=B
  • 1st and 2nd Ohm’s Laws

    Georg Simon Ohm
    I = V/R
  • Electric field concepts

    Michael Faraday
    E=F/Q
  • 1st and 2nd Kirchhoff's Laws

    Gustav Kirchhoff
    I1 = I2 + I3
  • Magnetic field

    Nikola Tesla
  • Right and Left hand rule

    Late nineteenth century
    John Ambrose Fleming
  • Components of a circuit

    Kilby and Noyce

Plan projects on a visual timeline

Map milestones, phases, deadlines, and key events in one place so the sequence is easier to see and share. Timetoast is a timeline maker for work, school, research, and stories.