Fisica

  • Principio de Arquimides
    3 BCE

    Principio de Arquimides

    Siglo III a.C.
  • Leyes de Kepler

    Leyes de Kepler

  • Mecánica Clásica

    Mecánica Clásica

  • Ley de Ohm

    Ley de Ohm

  • Ley de Joule

    Ley de Joule

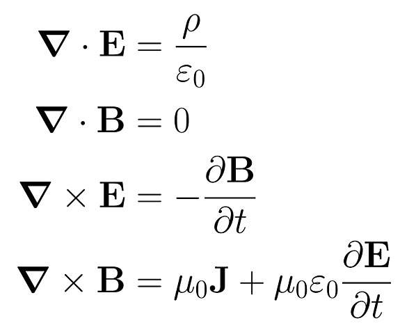
  • Ecuaciones de Maxwell

    Ecuaciones de Maxwell

  • Foto Eléctrico

    Foto Eléctrico

  • Experimento Michelson Morley

    Experimento Michelson Morley

  • Ley de Planck

    Ley de Planck

  • Albert Enstein Relatividad

    Albert Enstein Relatividad

  • Ecuaciones Schrondinger

    Ecuaciones Schrondinger

  • Feryman

    Feryman

A list shows items. A timeline shows sequence.

Use Timetoast to make dates, milestones, and turning points easier to understand in a clear visual format. Timetoast is a timeline maker for work, school, research, and stories.