Chemical Timeline

By Asweat
  • 404 B.C.
    404

    404 B.C.

    The Peloponnesian War ended
  • 460-370 B.C. Democritus
    420

    460-370 B.C. Democritus

    Democritus introduces the concept of the "atom." Interesting fact about Democritus is that he was a Greek philosopher, teacher, and he was born in Abdura.
  • 460-370 B.C. Democritus
    420

    460-370 B.C. Democritus

    The picture showes that Democritus believed that almost the entire universe was made up of "atoms."
  • Richard dies
    Jan 1, 1199

    Richard dies

    Richard the Lionhearted died of an arrow wound while besieging Chalus in Western France
  • Columbus
    Sep 6, 1492

    Columbus

    Christopher Columbus "discovered" America
  • French Revolution

    French Revolution

    The French Revolution begins
  • Fort Sumner Falls

    Fort Sumner Falls

    The Confederacy defeated the North's soldiers that were stationed at Fort Sumner and started the Civil War by doing so
  • JJ. Thomson

    JJ. Thomson

    J.J. Thomson discovered that atoms have electrons. Interesting facts about Thomson is that he gave six lectures at Yale Univeristy on electricity and matter.
  • Thomson

    Thomson

    The picture shows the Cathode-Ray Tube experiment that J.J. Thomson used to discover the electron
  • Rutherford

    Rutherford

    Ernest Rutherford discovered that atoms have a nucleus. Interesting facts about Rutherford is that he he was a New Zealand chemist, and he won the Nobel Prize in chemistry.
  • Rutherford

    Rutherford

    The picture shows the gold foil experiment that Ernest Rutherford used to discover that atoms have a nucleus
  • Bohr

    Bohr

    Niela Bohr discovered that atoms are at different energy levels. Interesting facts about Bohr is that he worked with Einstein and he was an advisor to the Manhattan Project which produced the first atomic bomb.
  • Bohr

    Bohr

    The picture shows the Bohr Model of the atom, which showed that atoms are at different energy levels
  • Schrodinger

    Schrodinger

    Erwin Schrodinger discovered that electrons move in orbitals. Interesting facts about Schrodinger is that he won a Nobel Prize, he was friends with Einstein, and his dad was a botanist.
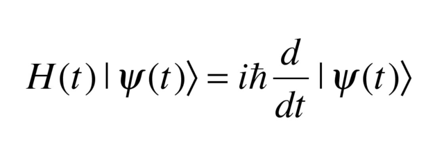
  • Schrodinger

    Schrodinger

    The picture displays the Schrodinger Equation, which could be used to calculate the orbital that an electron is located on
  • Chadwick

    Chadwick

    this is a picture that describes and shows what chadwick discovered
  • Chadwick

    Chadwick

    James Chadwick discovered that there are protons and neutrons in the nucleus. Interesting facts about Chadwick is that he wanted to study mathematics as an undergraduate, but he go in the registration line for physics by accident.
  • sources for all information

    wikipedia
    pbs
    the class chemistry book
    http://www.nobeliefs.com/atom.htm
    google images for pictures
  • Algebra Invented

    Algebra Invented

    The Arabic scholar Al-Khwarizmi invented Alegebra