Practice photo

Calc BC Review

By tkibbe2
  • Integration

    Integration

    Mean Value Theorem of Integration
    Average
    Power rule
    Trig rules
    Usub
    Log rule
  • Differential Equations

    Differential Equations

    SEPARATE THE VALIABLES!!!
    Slope Fields
    Euler's Method - x, y, dy/dx, dy, y n+t
    Growth and Decay - dy/dx=ky --- y=Ce^kt
    Logistic DE - dy/dx=ky(1-y/L) --- P=L/(1+Ae^-kt)
  • Sewuences and Series

    Sewuences and Series

    -Sequences-
    Convergence
    Boundedness/ unbounded
    L'Hopitals -Series-
    Convergence
    Sums
    Telescoping, geometric, p-series, alternating series, nth term, integral, DC test, LC test, ratio, root see blue handout for series tests
  • Taylor and Maclaurin Series

    Taylor and Maclaurin Series

    common series (see green handout)
    actual error
    LaGrange Error - Rn(x)=(f^(n+1)(z)/(n+1)!)(x-c)^(n+1)
    Power Series - Domain, radius of convergence, interval of convergence, endpoints
  • Practice Test

    Practice Test

    Free Responce
  • Integration (Part two)

    Integration (Part two)

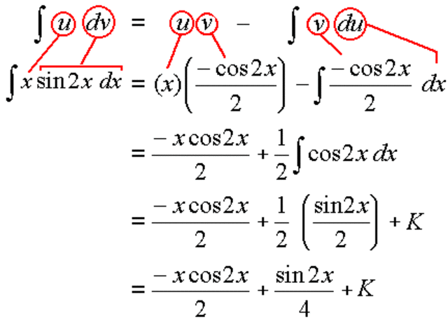
    Integration by Parts - LIPIT, Tabular, See picture
    Partial Fractions
    L'Hopital - Determinate forms
    Improper Integrals
  • Practice Test

    Practice Test

    Free Response
  • Practice Test

    Practice Test

    Multiple Choice
  • Practice Test

    Practice Test

    Multiple Choice
  • Area of Curves

    Area of Curves

    Integration
    Revolution - Disk, Shell
    Cross Sections
  • Practice Test Debrief

    Practice Test Debrief

    Look over wrong anwers of practice test
  • Final Review Day

    Final Review Day

    Turn in review packet
    Who can do... review
  • Relaxing

    Relaxing

    Walk around the school property to relax.
  • Game Day!

    Game Day!

A list shows items. A timeline shows sequence.

Use Timetoast to make dates, milestones, and turning points easier to understand in a clear visual format. Timetoast is a timeline maker for work, school, research, and stories.