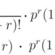
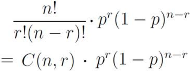
Binomial Probability Unit By fscibilia19 Jun 2, 2013 Sequences Notes Period: Jun 2, 2013 to Jun 7, 2013 Binomail Probability Unit Jun 3, 2013 Sigma notation and Series [Sigma](href='http://www.regentsprep.org/Regents/math/algtrig/ATP1b/SigmaNotation.htm)' >Class Notes</a> Jun 4, 2013 Arithmetic Sequences and Series Lesson Notes Jun 5, 2013 Geometric Sequences and Series Class Notes Jun 6, 2013 Binomial Theorem Class Notes