Timetoast day 1

AP Calculus review

  • Day 1: AB review

    Day 1: AB review

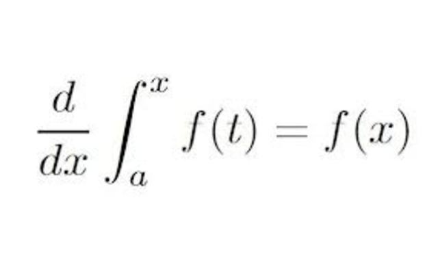
    In doing Reimann Sums, it is important to remmeber to use the approxiamtely sign instead of equals sign! Difference between Average Value: f(c) = 1/(b-a)*integral from a to b of f(x) dx and Mean Value: f'(c) = (f(b)-f(a)) / (b-a) 2nd Fundamental Theorem of Calculus: Dont forget to take the derivative of the bounds!
  • Day 2: Slope fields, Eulers Method, Differential Equations

    Day 2: Slope fields, Eulers Method, Differential Equations

    Growth and Decay: "The rate of change is proportional to the amount present" means dy/dt = ky , which integrated is y = Ce^(kt) Logistics Differential Equations: remember the two different forms (e^-kMt or e^-kt) , max rate of change is at half the max value
  • Day 3: Day 2 continuted

    Day 3: Day 2 continuted

    Be able to identify Slope fields with their representative equations Eulers method - make a table of x, y, dy/dx, dy
  • Day 4: Sequence and Series

    Day 4: Sequence and Series

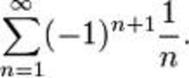
    Characteristics of Sequences: domain is set of positive integers, converges if bounded and monotonic
    writing equation for terms of a sequence: odd integers (2n+1), even (2n), alternating ((-1) ^n), 1, 2, 6, 24 (n!) Telescoping series: may have to reqrite with partial fractions, terms cancel. Can find the values the series converges to Root and Ratio test:
    if (lim n--> infinity expression < 1)
    series converges
    if (lim n--> infinity expression == 1)
    series is inconclusive
  • Day 5: Taylor Series and McClaurin Polynomials

    Day 5: Taylor Series and McClaurin Polynomials

    LaGrange Error Bound (not for alternating series):
    R=abs((f(z)*(x-a)^n-1)/(n+1)!) When a series is cenetered at a value - must solve for the derivates of f(x) at that value, not at 0 and write polynomial with those coefficients
  • Day 6: Advanced Integration Techniques

    Day 6: Advanced Integration Techniques

    Integration by Parts: integral of uv = uv - integral of v du
    in choosing u: LIPET
    Tabular method: signs alternate, starting with + Partial Fractions, Infinite Integrals
  • Day 7: Integral Applications: Area, Volume, Water in Water out

    Day 7: Integral Applications: Area, Volume, Water in Water out

    Maximizing/Minimizing distance formula
    Washer: V = pi*integral of f^2(x)
    Shell method V = 2pi*integral of distance from axis*f(x)
  • Polar Test Review

    Polar Test Review

    Area : integral from a to b of r^2 d@
    Surface Area of Revolution: SA = 2pi*integral of (rsin@*sqrt(r^2 +r'^2))d@
    about the POLAR AXIS SA = 2pi*integral of (rcos@*sqrt(r^2 +r'^2))d@
    about PI/2
  • Polar Test Day

    Polar Test Day

    I don't remember if i wrote the correct area of a surface of revolution equation for around the polar aixs (rsin@) and around pi/2 (rcos@)
    Overall, the test was not bad.
  • Review

    Review

    Over the weekend: Do practice problems and start creating study guide
  • Review Day

    Review Day

    Doing the "what do you do...when you see worksheet" has helped me review some of the AB that we have not touched, such as water in water out problems, which although not difficult to think about, may throw me off when I see it unexpectedly on the test. I should review integrating trig fucntions such as integral of tan = -ln(cos@).
  • Review: The Day Before!

    Review: The Day Before!

    Mr. Hyman suggested that we shoukld take it easy and look at the KYSC sheet and the "what do you do...when you see sheet", but the KYSC sheet feels sparse, so I reviewed my study guide and did some practice problems
  • AP DAY!

    AP DAY!

    The difficulty of the test was as expected. I did not understand what part C of question 6 was asking for, and i think i did not do the grass clipping question correctly (the values i got did not seem probable). The other free responses were not bad.

A list shows items. A timeline shows sequence.

Use Timetoast to make dates, milestones, and turning points easier to understand in a clear visual format. Timetoast is a timeline maker for work, school, research, and stories.