Calculus2 300x175

AP Calculus Review

  • AP Review

    AP Review

    Tonight, I worked on reviewing the logistics model equation as well as some basic review on integral and derivatives that I may have forgetten.
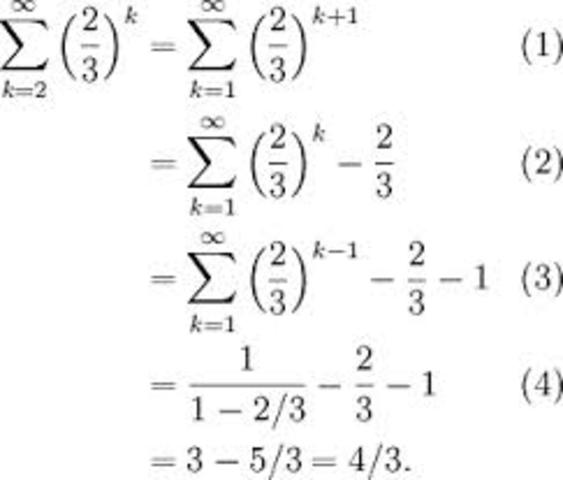
  • Infinite Series Review

    Infinite Series Review

    Today in class we reviewed all of the different tests for convergence and divergence.l The tests that I felt I most needed to review was the integral test and the direct comparison test. To improve on these tests, I completed the infinite series worksheet,which helped me better review.
  • AP Review-Polar Test

    I was absent from school today, but was able to review for the polar test.
  • AP Review- Taylor Series and Summations

    AP Review- Taylor Series and Summations

    Today,we reviewed taylor series and maclaurin series that we need to memorize. The quiz we took in class, helped me realize that I needed to review the power series. At home, I completed the second series worksheet as well as made index cards to better memorize the basic maclaurin series.
  • AP Review- In Class Test

    AP Review- In Class Test

    In class today, I started the multiple choice exam with Miles. I felt pretty confident but their were a couple fo questions I did not fully understand that I went home and reviewed.
  • AP Review- In Class Test

    AP Review- In Class Test

    Today, we completed the multiple choice. We did run out of time on one or two questions but overall I feel that it was not too bad. I do need to review certain concepts such as taylor series
  • -AP Review- Advanced Integration Techniques

    -AP Review- Advanced Integration Techniques

    Today we revied integration techniques such as integration by parts and partial fractions. I feel pretty confident about partial fractions but not so much about integration by parts.I completed 20 problems in my AP Barons review book about integration by parts so I could feel more confident about that integration technique.
  • AP Review- Series Review

    AP Review- Series Review

    Today we went over an extra powerpoint about series. This powerpoint went over some tests and some important facts about sequences that I had forgotten. I feel confident about most of the tests for convergence now but still need to memorize the power series.
  • AP Review- Review Test Questions

    AP Review- Review Test Questions

    After senior pictures, we recieved our in-class tests.I think I did okay on the multiple choice but still need to go over some basic ab concepts that I may have forgetten. The free response was also given back, and I was able to see what I got wrong which greatly helped me to review some things I had forgotten.
  • AP Review

    AP Review

    Today, I took a complete practice test at home. I also reviewed the integration techniques.
  • AP Review- Day Before the AP Test

    Today in class, we got our calculus t-shirts and reviewed some last minute concepts. When I got home I took one final practice test that I scored and reviewed, This helped me feel more confident about the test tomorrow.
  • AP TEST!

    AP TEST!

  • AP English Exam

Looking for a timeline maker?

Create timelines for projects, roadmaps, history, lessons, legal cases, and stories with Timetoast. Timetoast is a timeline maker for work, school, research, and stories.