AP Calculus BC; Where Magic Happens

  • Polar Equation Unit

    Polar Equation Unit

    Finishing up unit
  • Area of Polar Regions

    Area of Polar Regions

    Surface area
  • Volume of Polar regions

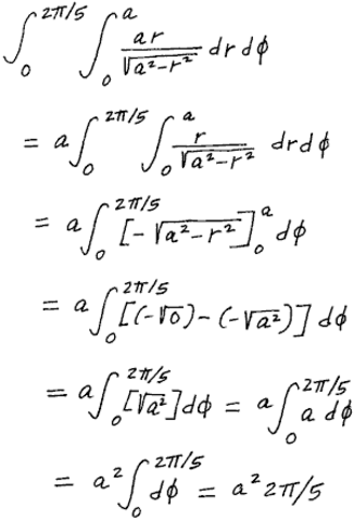
    Volume of Polar regions

    rotating polar regions, touch to find where ther polar equations intersect...
  • More polar volume review

    More polar volume review

    More volume review, preeeeetttyyy tough
  • Reviewing all polar unit

    Reviewing all polar unit

    Higher overview of polar equations and applications
  • Finishing up polar unit

    Finishing up polar unit

    finally stuff's starting to make sense
  • Last day of polar!

    Last day of polar!

    Soon we'll be reviewing!
  • AP Practice Problems

    AP Practice Problems

    In class with Jay
  • More in class AP problems

    More in class AP problems

    More partner ap problems
  • Review Practice problems

    Review Practice problems

    Getting better idea for AP practice free response questions, go over practice test
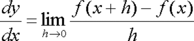
  • Definition of derivative

    Definition of derivative

    Limit definition, easy practice
  • Derivative Applications

    Derivative Applications

    Related rates, mean value theorem
  • Integration Review

    Integration Review

    Back to the good old summation definition of the integral. Man how I forgot about all this stuff!
  • Integration Applications

    Integration Applications

    Area under curves, volumes around axis
  • Finish up all integration stuff

    Finish up all integration stuff

    pretty easy, memory's flowing back
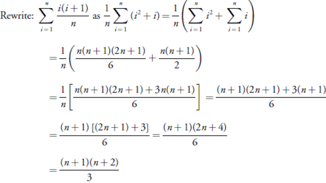
  • Summation and Sequences review

    Summation and Sequences review

    Hardest part of the year, hopefully we'll get the most review in this
  • More Series Review, some partial fractions and integration by parts as well

    More Series Review, some partial fractions and integration by parts as well

  • Testing for convergence, Divergence

    Testing for convergence, Divergence

    So many different tests! Ratio, nth term, so many test to remember
  • Finishing up series review and review overall

    Finishing up series review and review overall

    Finally regaining knowledge of series
  • Going over big practice test

    Going over big practice test

    Got big practice test back. Didn't do terribly, and I feel like I got in enough review since that I understand what I did wrong
  • Last little review bits, formula rememberance

    Last little review bits, formula rememberance

    gettin syked for wednesday!!!!
  • Last day before big game

    Last day before big game

    last minute studying, reviewing. Get enough sleep! Make sure I've stretched and done a proper warmup also...
  • SUPER BOWL!

    SUPER BOWL!

    The biggest game of the season, remember to read all questions carefully and read all parts

Want to make a timeline like this?

Use Timetoast to turn dates, events, milestones, and phases into a clear visual timeline you can build and share. Timetoast is a timeline maker for work, school, research, and stories.