Omwe

AP Calc BC review

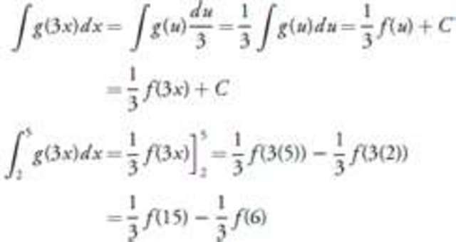
  • Integration Review

    Integration Review

    Went over basic integration concepts such as u substitution. Might need a tad bit more reviewing
  • More integration review

    More integration review

    SEPERATE THE VARIABLES...also I was glad to look at partial fractions again
  • Sequences/ Series day 1

    Sequences/ Series day 1

    Went over all basic ways to solve series and check for convergence. I think I'm pretty set on this
  • More fun with series

    More fun with series

    Looked especially at McLaurin and Taylor polynomials. As always should go over LeGrange error bound and the common McLaurin Series
  • AP Free Response Problem

    AP Free Response Problem

    We did good work, but I need to make sure to read the problem fully and take less time making stupid mistakes
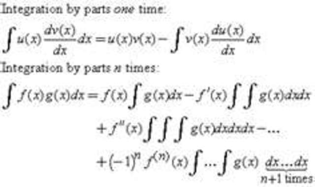
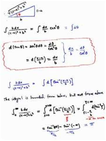
  • Advanced Integration

    Advanced Integration

    Chain rule + l'hospital (sp)... review needed of both, though it shouldn't take too long to remember. Shortened Class.
  • Partner problem

    Partner problem

    solved most of the non calculator parts, still need review of taylor series
  • Law Day

    Law Day

    No class for me
  • Calc  multiple choice

    Calc multiple choice

    Went rather well, only a couple of things to look over
  • Reviewing for the Game

    Reviewing for the Game

    Went pretty well
  • Test Review

    Test Review

    Went over parts of the practice test
  • AP Chem

    AP Chem

    Looking over calc stuff in the PM
  • AP Spanish

    AP Spanish

    Last day for review... go over the practice test questions
  • The day of all days

    The day of all days

    5....

Plan projects on a visual timeline

Map milestones, phases, deadlines, and key events in one place so the sequence is easier to see and share. Timetoast is a timeline maker for work, school, research, and stories.