Ap calculus bc1

AP Calc

  • Integration+AB

    Integration+AB

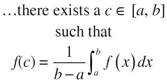
    Had been prepping with my integration flash cards so I aced the green sheet, but I don't understand MVT problems.
  • Period: to

    Journal Project

  • Series+Sequences

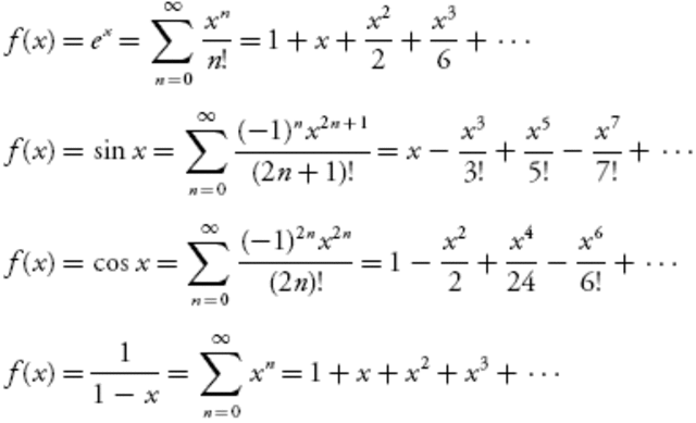
    Series+Sequences

    Added and reviewed my series flashcards and worked on blue packet. I don't like this timetoast assignment...
  • Differential

    Differential

    Added a few general differential flashcards to my growing stack. Still need to work on understanding the integration to get a logistic
  • Review

    Review

    Took polar exam, did not do as well as I would have liked. Worked on blue packet.
  • Flash Card Review

    Flash Card Review

    Camping in the Shenandoah's reviewed my KYSC flashcards
  • Camping: Flashcards

    Camping: Flashcards

    Continued memorization of KYSC cards.
  • Flash Card Review

    Flash Card Review

    Camping still. Reviewed flash cards.
  • Practivce AP Test

    Practivce AP Test

    Worked on your practice AP test. Still need series review.
  • Practice AP Test

    Practice AP Test

    Worked on your practice AP test. Definitely need more prep for the exam. I struggle with some questions.
  • Practice Test

    Practice Test

    Took own practice test out of my book
  • Practice Test

    Practice Test

    Took practice test out of book
  • More Flashcard Reveiw

    More Flashcard Reveiw

    Added series cards to the review, worked on them.
  • Taylor Series

    Taylor Series

    Added Taylor Series to my flash card collection. Reviewed them vigerously. Finally understand them.
  • Practice AP Problems (FR)

    Practice AP Problems (FR)

    Worked on a couple free response questions, both with and without a calculator.
  • Practice AP Problems (FR)

    Practice AP Problems (FR)

    Worked on free response questions from my book. Easy as pie,
  • Relax

    Relax

    Went over basic topics, what to do when you see what. Prepared for the psycological part of exam.
  • AP Test

    AP Test

    Section 1: Hard, skipped a handfull of questions, had to guess
    Section 2: Easy, guessed on two questions
    Section 3: Too Easy finished all parts
    Section 4: Too Easy finished all parts with time
    Overall: 3-5 (Enough to get me college credit)

A list shows items. A timeline shows sequence.

Use Timetoast to make dates, milestones, and turning points easier to understand in a clear visual format. Timetoast is a timeline maker for work, school, research, and stories.