Algebra

Algebra

  • Properties of Exponents

    Properties of Exponents

    *Any variable or number to the zero power = 1, always. exponent - The exponent of a number shows you how many times the number is to be used in a multiplication. It is written as a small number to the right and above the base number Properties:
    Addition: cx a + dx a = (c + d )x a
    Subtraction: cx a - dx a = (c - d )x a
    Multiplication: cx a×dx b = (cd )x a+b
    Division: = ()x a-b
    Distribution: (cd )a = c a d a
    Power of a Power: c(x a)b = cx ab
  • Period: to

    Unit 5

  • Monomials

    Monomials

    Monomial - a constant, a variable, or the product of a constant and a variable. Example: 3x^2 *Like terms, or similar terms, are terms which differ only in numerical coefficients Addition of monomials
    ax^by^d + cx^by^d = (a+c)x^by^d Subtraction of monomials
    ax^by^d - cx^by^d = (a-c)x^by^d Multiplication of monomials
    (3a^3b^2c^1)(2a^1b^2c^3) = 6a^3b^5c^4 Division of monomials
    (6a^2b^3c^4) / (2a^1b^2c^2) = 3a^1b^1c^2
  • Polynomials

    Polynomials

    Polynomial - a finite sum of terms where the exponents on the variables are non-negative integers binomial - a polynomial with 2 terms
    trinomial - a polynomial with 3 terms *terms are separated by +'s and -'s. *always put polynomial in descending order by degree, and combine like terms Adding and subtracting polynomials
    (10x^2 - 3x +7) + (3x^2 - 4x +8) = 13x^2 -7x +15
    (10x^2 - 3x +7) - (3x^2 - 4x +8) = 7x^2 +x - 1
    *distribute the negative to each term inside the second polynomial
  • Factoring Polynomials (4+ Terms)

    Factoring Polynomials (4+ Terms)

    GCF - greatest common factor *write a polynomial in factored form using the distributive property Factoring by Grouping (use for polynomials with 4+ terms)
    2b^3 + 3a^3 + 3ab^2 + 2a^2b = (2b^3 + 2ab^2) + (3a^3 +3ab^2) = 2b(a^2 + b^2) + 3a(a^2 + b^2) = (2b + 3a)(a^2 + b^2) *
  • Factoring Polynomials

    Factoring Polynomials

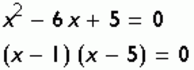
    *always factor our GCF first Factoring Trinomials in form x^2 + bx + c
    (x + _ )(x + _ ) or (x - _ )(x - _ ) ; for any positive c, and
    (x + _ )(x - _ ) or (x - _ )(x + _ ); for any negative c Factoring Trinomials in form ax^2 +bx +c, where a > 1
    use reverse foil and trial and error
    ( )( ) Factoring a Perfect Square Trinomial
    a^2 + 2ab + b^2 = (a+b)^2
    a^2 - 2ab + b^2 = (a-b)^2